Официальное опубликование правовых актов
ОФИЦИАЛЬНОЕ ОПУБЛИКОВАНИЕ
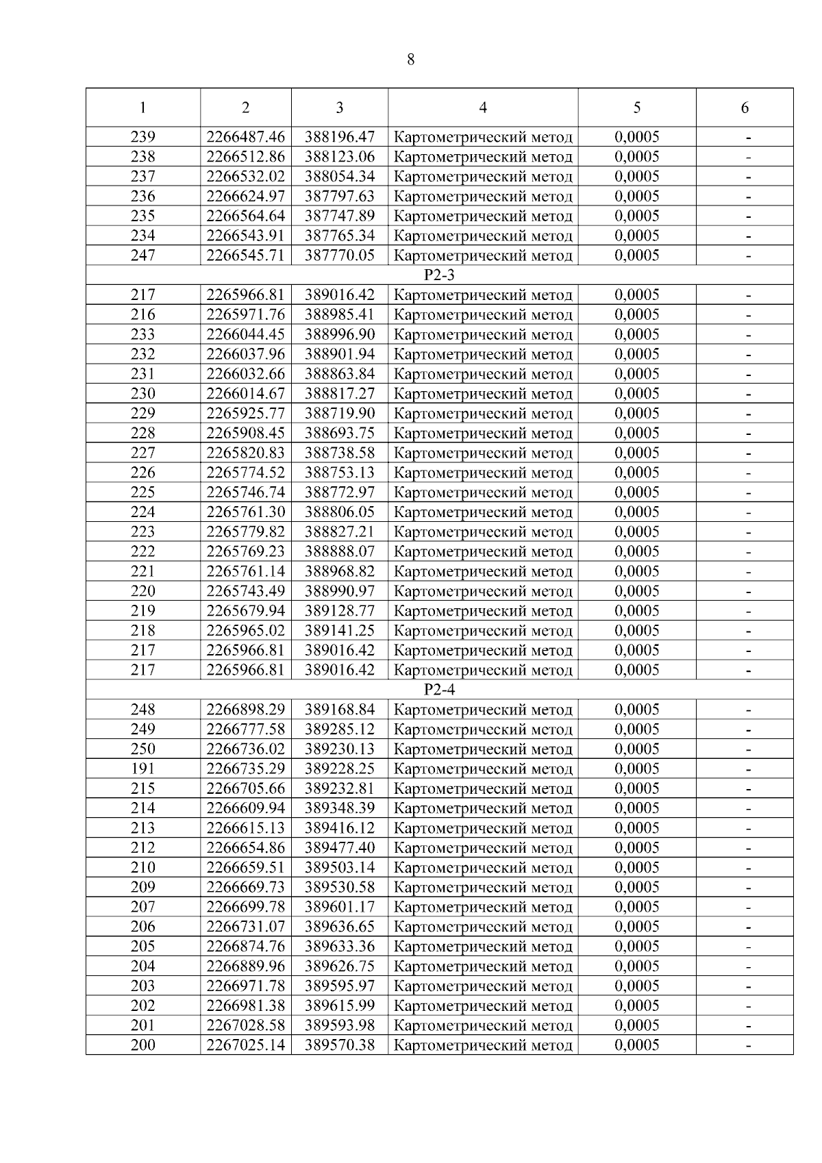
Распоряжение Главного управления культурного наследия Московской области от 26.12.2025 № 06РВ-913
"Об утверждении границы территории, требований к осуществлению деятельности и градостроительному регламенту в границах территории объекта культурного наследия регионального значения "Девичье поле", ХII-ХХ вв"., расположенного по адресу: Московская область, Городской округ Коломна, город Коломна"
(Зарегистрирован 26.12.2025 № 26-1423/2025)
Номер опубликования: 5001202512290004
Дата опубликования: 29.12.2025
Страница №43 из 45:
Увеличить