Официальное опубликование правовых актов
ОФИЦИАЛЬНОЕ ОПУБЛИКОВАНИЕ
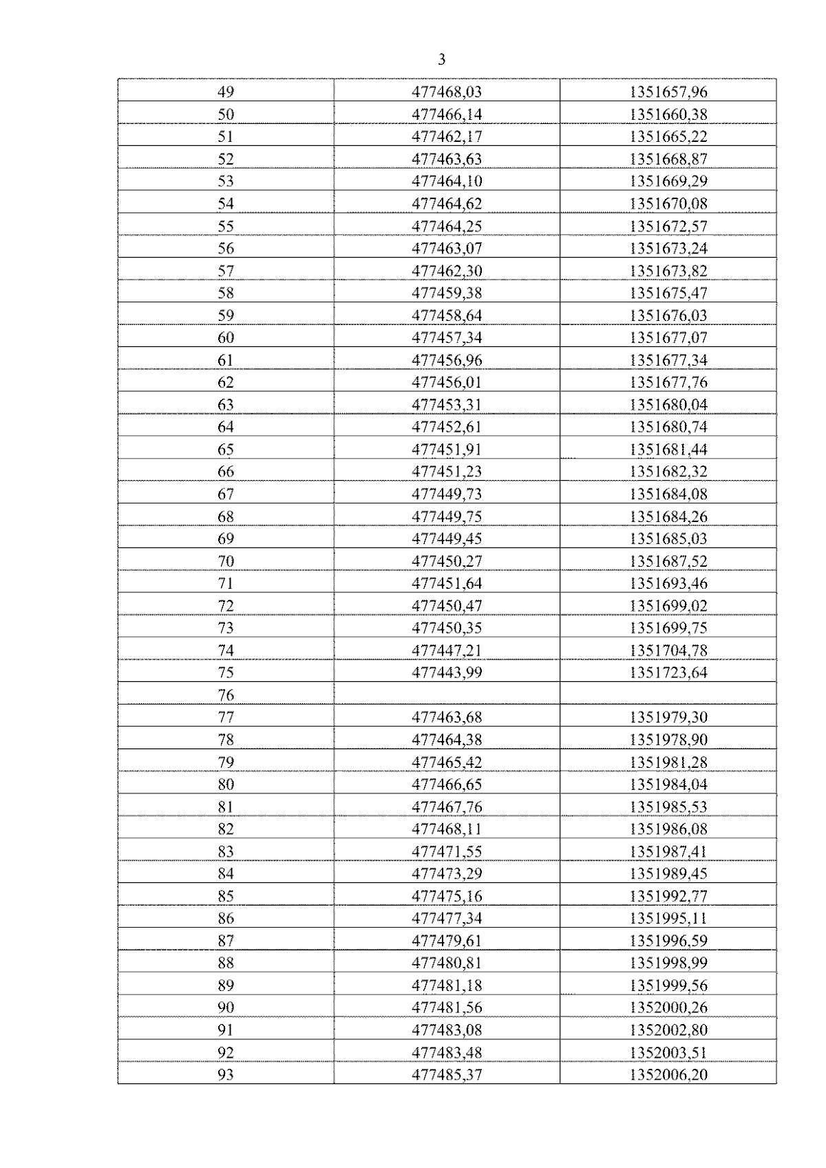
Распоряжение Министерства экологии и природопользования Московской области от 15.12.2025 № 1580-РМ
"О внесении изменений в Перечень водных объектов, для которых устанавливаются местоположение береговых линий (границ водных объектов), границы водоохранных зон и границы прибрежных защитных полос на территории Московской области"
(Зарегистрирован 15.12.2025 № 15-1290/2025)
Номер опубликования: 5001202512170001
Дата опубликования: 17.12.2025
Страница №5 из 50:
Увеличить