Официальное опубликование правовых актов
ОФИЦИАЛЬНОЕ ОПУБЛИКОВАНИЕ
Распоряжение Министерства экологии и природопользования Московской области от 03.10.2025 № 1224-РМ
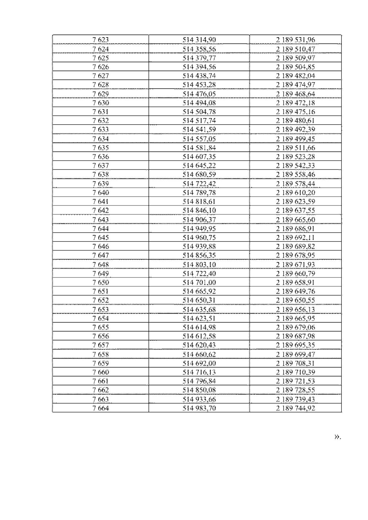
"Об определении местоположения береговых линий (границ водного объекта), установлении границ водоохранной зоны, прибрежной защитной полосы канала им. Москвы в городском округе Дубна, Талдомском городском округе, Дмитровском муниципальном округе, городском округе Мытищи, городском округе Долгопрудный, городском округе Химки Московской области"
(Зарегистрирован 03.10.2025 № 15-979/2025)
Номер опубликования: 5001202510060002
Дата опубликования: 06.10.2025
Страница №391 из 391:
Увеличить