Официальное опубликование правовых актов
ОФИЦИАЛЬНОЕ ОПУБЛИКОВАНИЕ
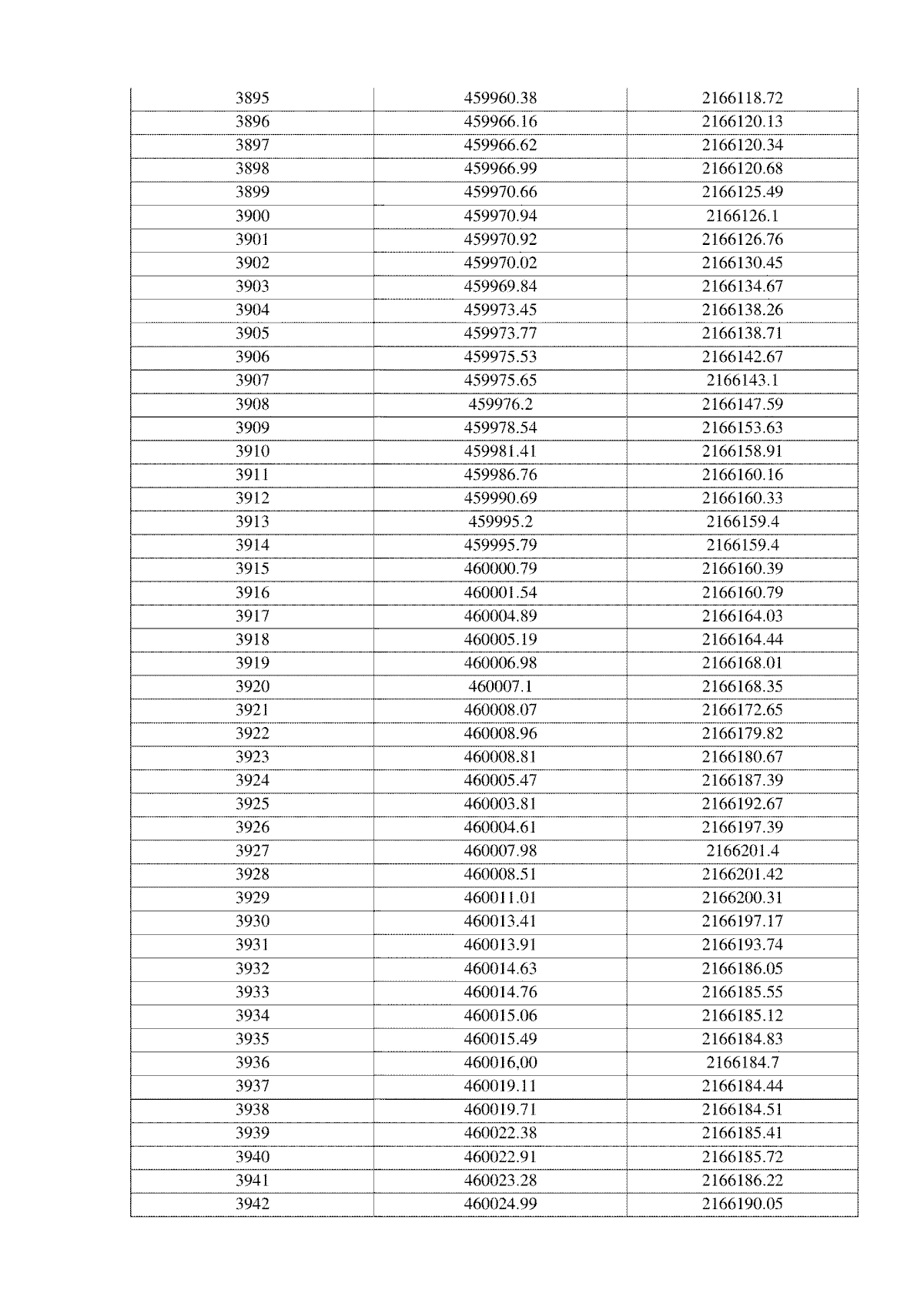
Распоряжение Министерства экологии и природопользования Московской области от 20.08.2025 № 994-РМ
"О внесении изменений в Приложение к распоряжению Министерства экологии и природопользования Московской области от 27.01.2022 № 84-РМ "Об определении местоположения береговых линий (границ водного объекта), установлении границ водоохранной зоны, прибрежной защитной полосы рек расположенных на территории Московской области"
(Зарегистрирован 20.08.2025 № 15-751/2025)
Номер опубликования: 5001202508220007
Дата опубликования: 22.08.2025
Страница №378 из 459:
Увеличить