Официальное опубликование правовых актов
ОФИЦИАЛЬНОЕ ОПУБЛИКОВАНИЕ
Распоряжение Министерства экологии и природопользования Московской области от 21.08.2025 № 1001-РМ
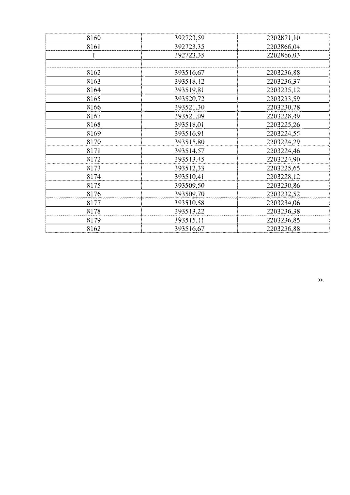
"Об определении местоположения береговых линий (границ водного объекта), установлении границ водоохранной зоны, прибрежной защитной полосы ручья без названия в городском округе Ступино, городском округе Домодедово Московской области"
(Зарегистрирован 21.08.2025 № 15-757/2025)
Номер опубликования: 5001202508220004
Дата опубликования: 22.08.2025
Страница №464 из 464:
Увеличить