Официальное опубликование правовых актов
ОФИЦИАЛЬНОЕ ОПУБЛИКОВАНИЕ
Распоряжение Министерства экологии и природопользования Московской области от 21.08.2025 № 1000-РМ
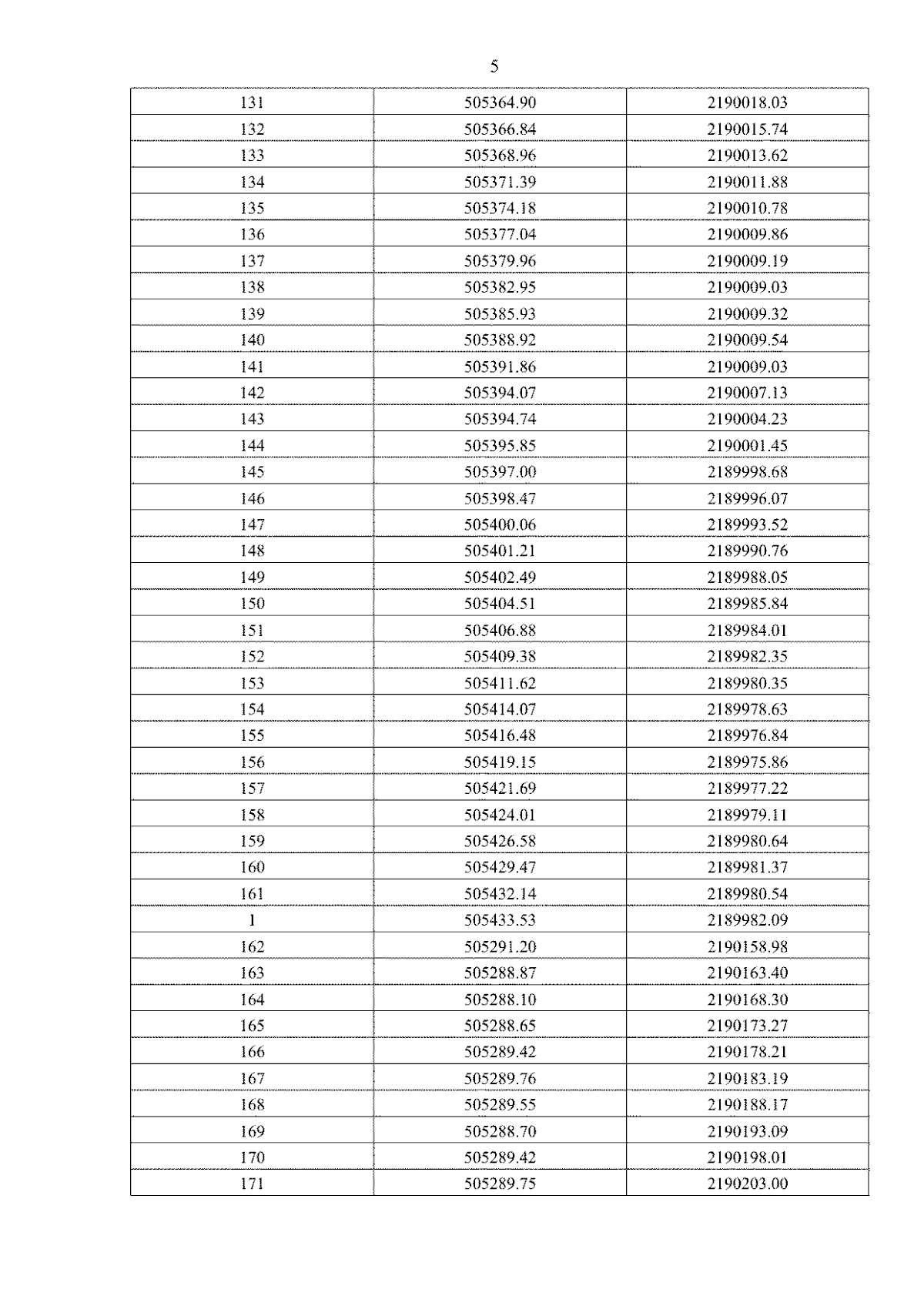
"О внесении изменений в Перечень водных объектов, для которых устанавливаются местоположение береговых линий (границы водных объектов), границы водоохранных зон и границы прибрежных защитных полос на территории Московской области"
(Зарегистрирован 21.08.2025 № 15-756/2025)
Номер опубликования: 5001202508220003
Дата опубликования: 22.08.2025
Страница №7 из 18:
Увеличить