Официальное опубликование правовых актов
ОФИЦИАЛЬНОЕ ОПУБЛИКОВАНИЕ
Распоряжение Министерства экологии и природопользования Московской области от 04.07.2025 № 777-РМ
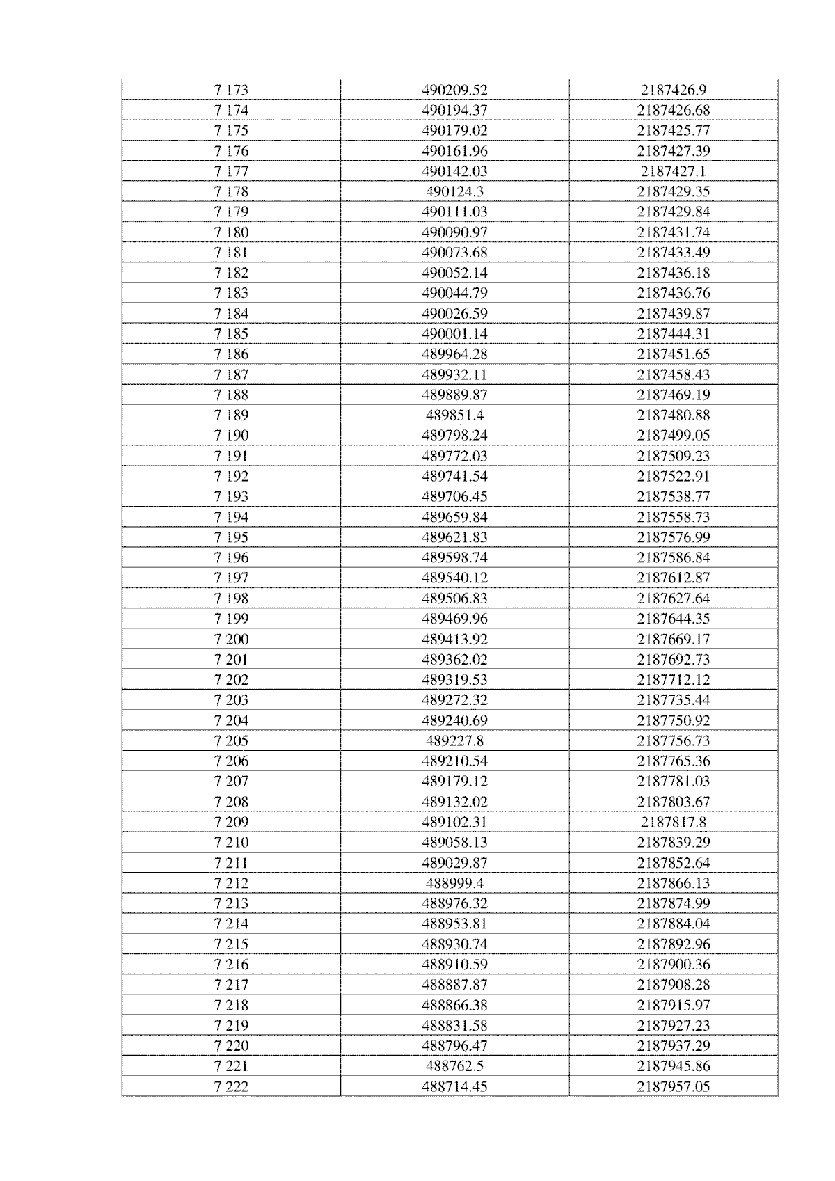
"Об определении местоположения береговых линий (границ волною объекта), установлении границ водоохранной зоны, прибрежной защитной полосы канала им. Москвы в городском округе Дубна, Талдомском городском округе, Дмитровском муниципальном округе, городском округе Мытищи, городском округе Долгопрудный, городском округе Химки Московской области"
(Зарегистрирован 04.07.2025 № 15-606/2025)
Номер опубликования: 5001202507090007
Дата опубликования: 09.07.2025
Страница №373 из 388:
Увеличить