Официальное опубликование правовых актов
ОФИЦИАЛЬНОЕ ОПУБЛИКОВАНИЕ
Распоряжение Главного управления культурного наследия Московской области от 18.11.2024 № 34РВ-717
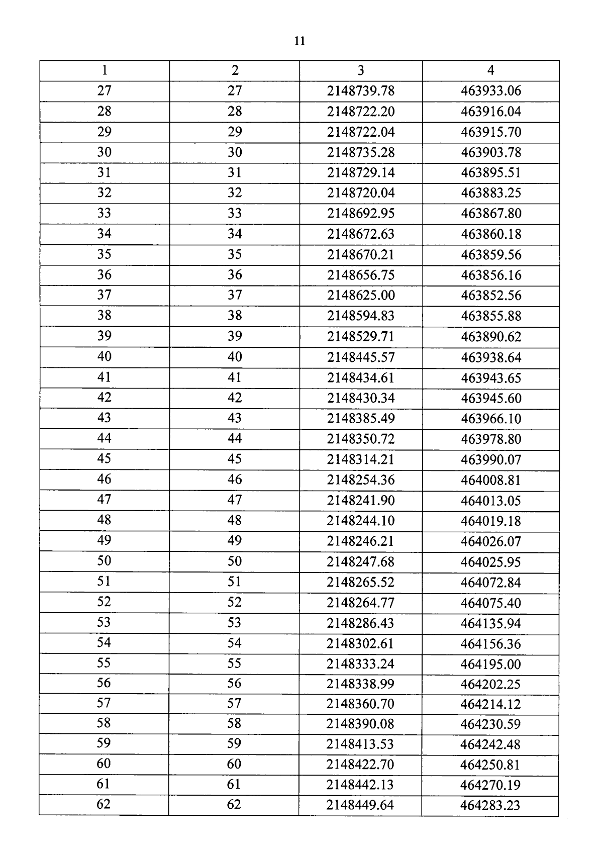
"Об утверждении границы территории и режима использования территории объекта культурного наследия федерального значения "Усадьба Введенское (Шереметева-Гудовича), ХVII-ХIХ вв.: Главный дом, ХVII в.; Флигели: левый и правый, ХVII-IХ вв.; Церковь Введения, 1812 г.; Въездные ворота-павильоны, ХVII в.; Конный двор, ХVII в.", расположенного по адресу: Московская область, Одинцовский городской округ, город Звенигород, шоссе Звенигородское"
Номер опубликования: 5001202411190002
Дата опубликования: 19.11.2024
Страница №14 из 22:
Увеличить