Официальное опубликование правовых актов
ОФИЦИАЛЬНОЕ ОПУБЛИКОВАНИЕ
Постановление Правительства Московской области от 23.04.2026 № 459-ПП
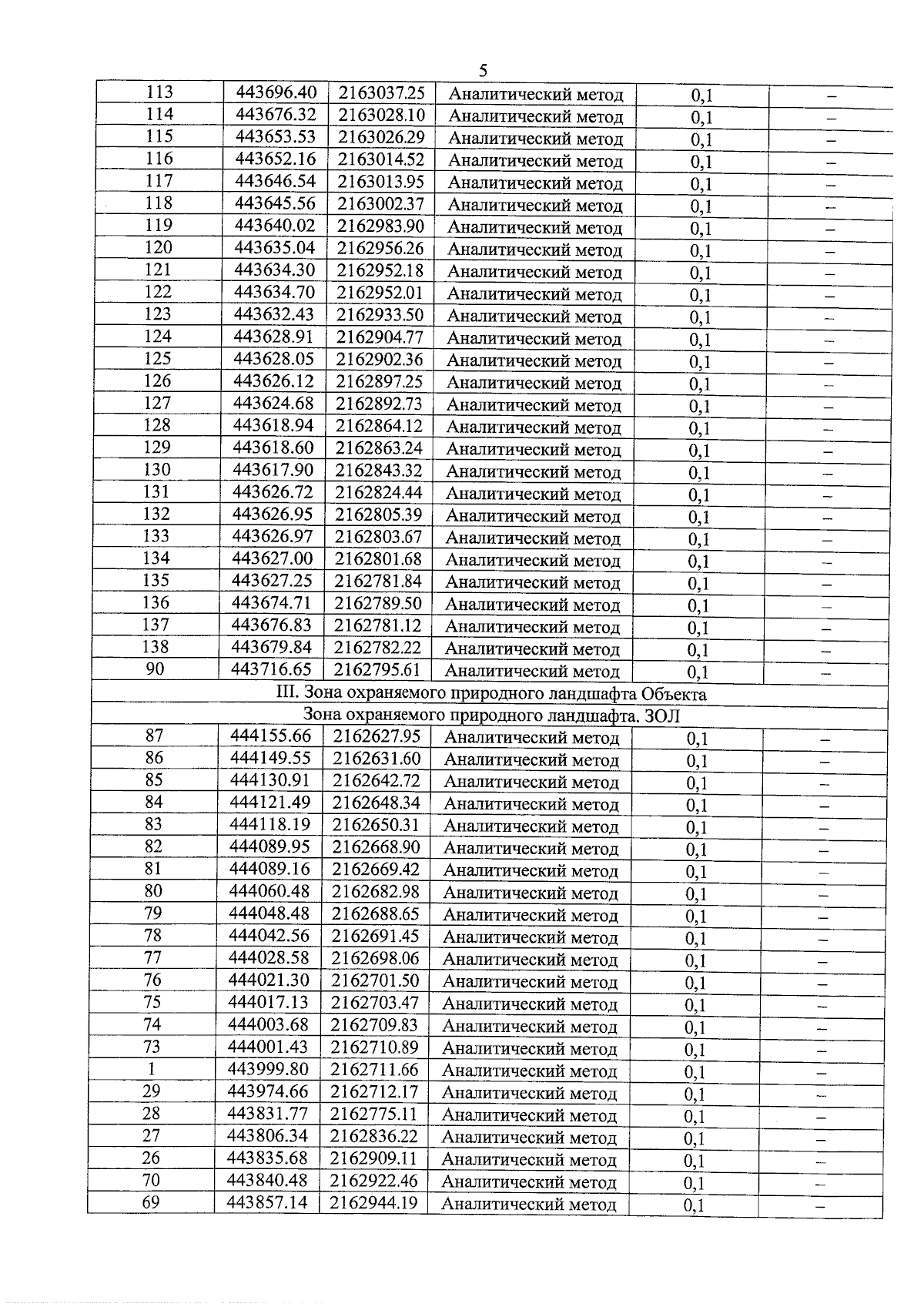
"Об установлении зон охраны объекта культурного наследия федерального значения "Церковь Иоанна Предтечи, 1704-1709 гг., конец XVIII в.", расположенного по адресу: Московская область, Наро-Фоминский городской округ, деревня Афинеево, дом 50в, и утверждении требований к градостроительным регламентам в границах территорий данных зон"
Номер опубликования: 5000202604240009
Дата опубликования: 24.04.2026
Страница №13 из 17:
Увеличить