Официальное опубликование правовых актов
ОФИЦИАЛЬНОЕ ОПУБЛИКОВАНИЕ
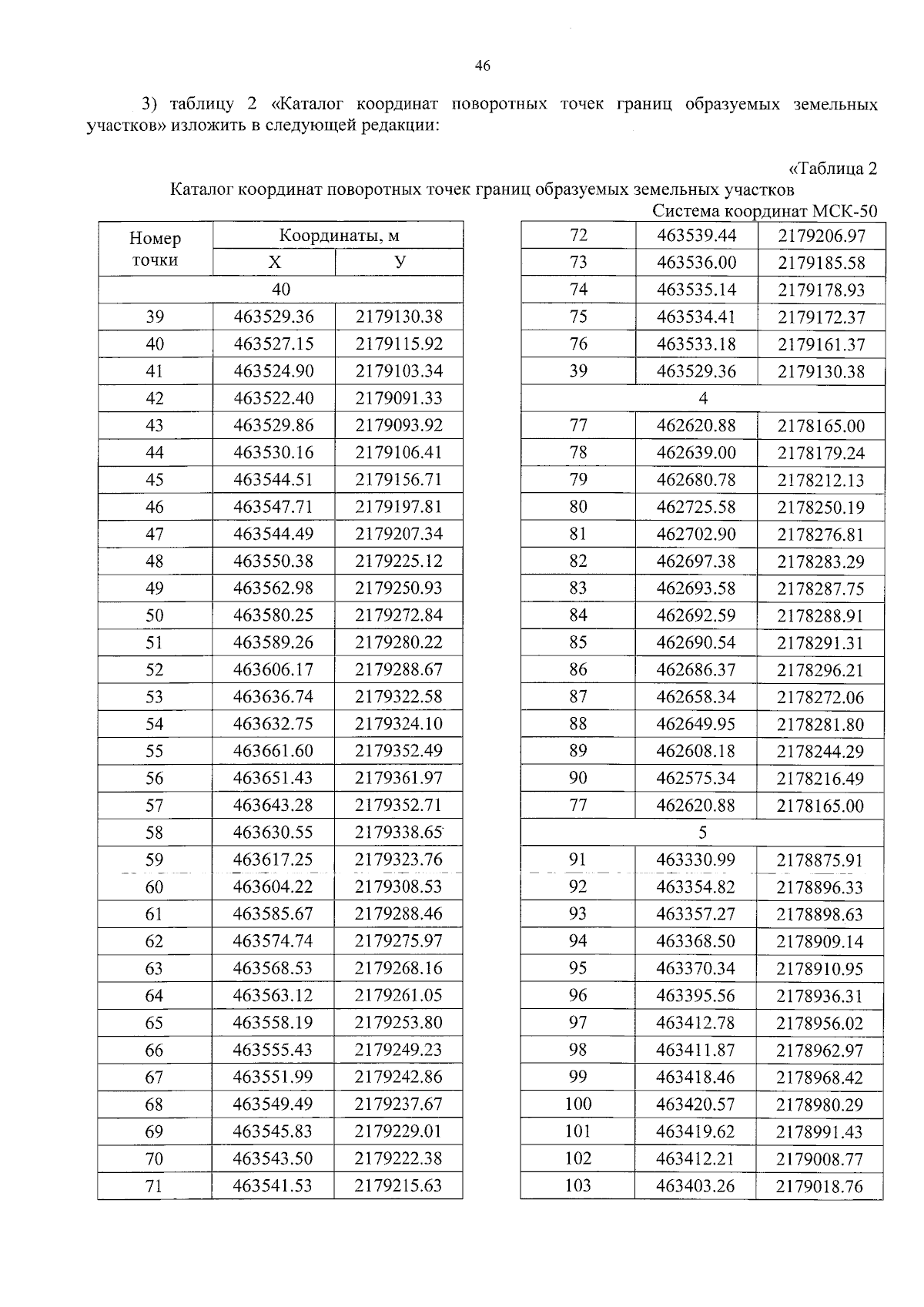
Постановление Правительства Московской области от 16.04.2026 № 424-ПП
"О внесении изменений в постановление Правительства Московской области от 22.09.2016 № 686/33 "Об утверждении проекта планировки территории для размещения мультимодального транспортного узла, расположенного по адресу: Московская область, Одинцовский муниципальный район, Минское шоссе, 19 км"
Номер опубликования: 5000202604200010
Дата опубликования: 20.04.2026
Страница №48 из 62:
Увеличить