Официальное опубликование правовых актов
ОФИЦИАЛЬНОЕ ОПУБЛИКОВАНИЕ
Постановление Правительства Московской области от 16.04.2026 № 424-ПП
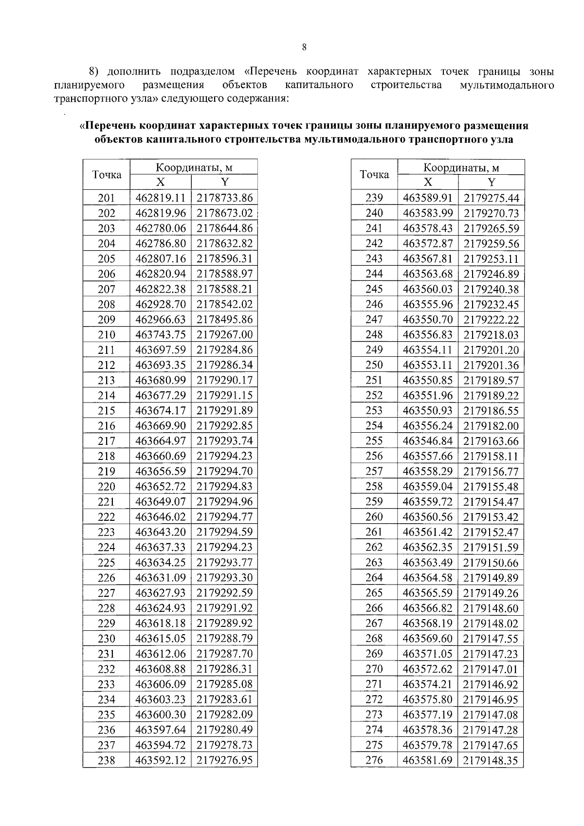
"О внесении изменений в постановление Правительства Московской области от 22.09.2016 № 686/33 "Об утверждении проекта планировки территории для размещения мультимодального транспортного узла, расположенного по адресу: Московская область, Одинцовский муниципальный район, Минское шоссе, 19 км"
Номер опубликования: 5000202604200010
Дата опубликования: 20.04.2026
Страница №10 из 62:
Увеличить