Официальное опубликование правовых актов
ОФИЦИАЛЬНОЕ ОПУБЛИКОВАНИЕ
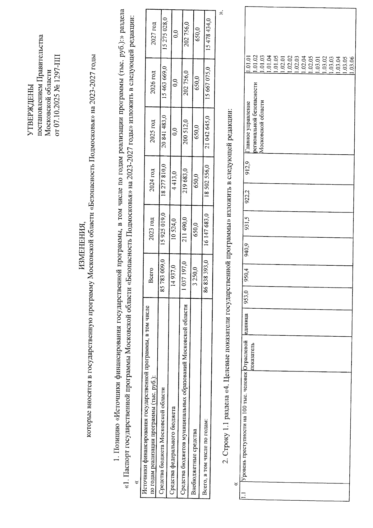
Постановление Правительства Московской области от 07.10.2025 № 1297-ПП
"О внесении изменений в государственную программу Московской области "Безопасность Подмосковья" на 2023-2027 годы"
Номер опубликования: 5000202510100005
Дата опубликования: 10.10.2025
Страница №3 из 12:
Увеличить