Официальное опубликование правовых актов
ОФИЦИАЛЬНОЕ ОПУБЛИКОВАНИЕ
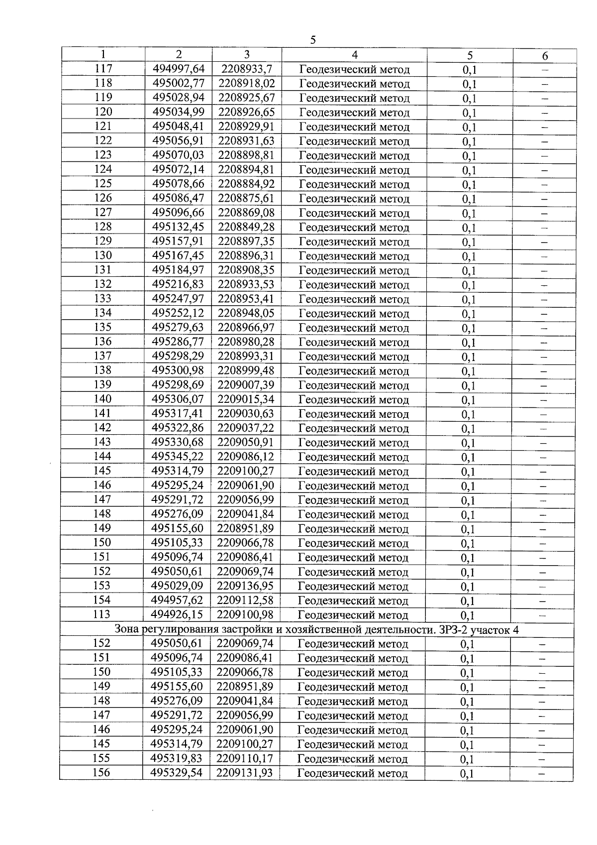
Постановление Правительства Московской области от 15.09.2025 № 1177-ПП
"Об установлении зон охраны объекта культурного наследия регионального значения "Дачный ансамбль из 2-х деревянных павильонов, XIX в.", расположенного по адресу: Московская область, Городской округ Пушкинский, город Пушкино, микрорайон Мамонтовка, улица Ленточка, дом 1, улица Октябрьская, дом 4, и утверждении требований к градостроительным регламентам в границах территорий данных зон"
Номер опубликования: 5000202509180007
Дата опубликования: 18.09.2025
Страница №27 из 32:
Увеличить