Официальное опубликование правовых актов
ОФИЦИАЛЬНОЕ ОПУБЛИКОВАНИЕ
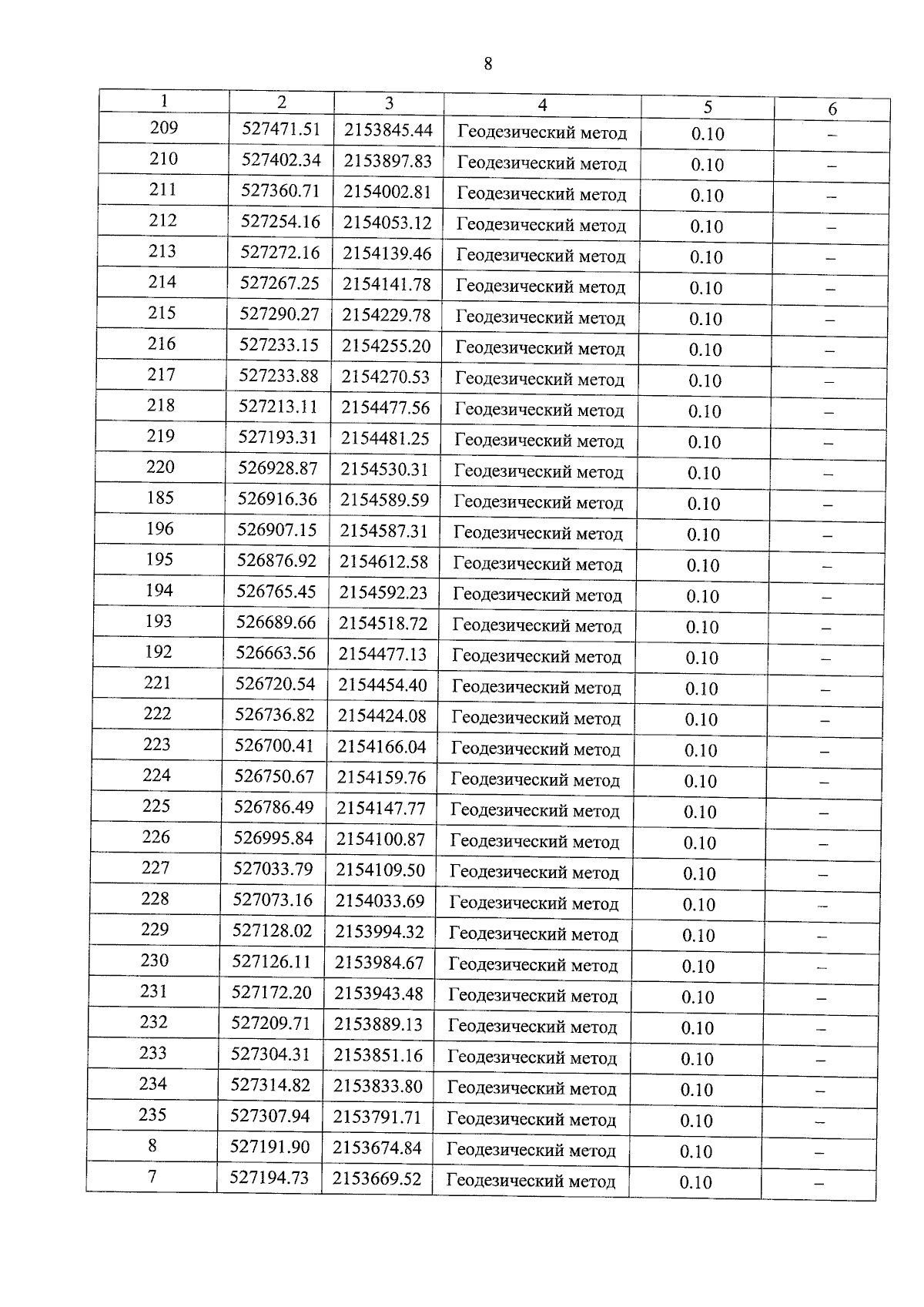
Постановление Правительства Московской области от 15.09.2025 № 1182-ПП
"Об установлении зон охраны объекта культурного наследия федерального значения "Усадьба Татищева, I-я пол. XVIII в.: главный дом; флигель; парк с прудом; служебный корпус", расположенного по адресу: Московская область, городской округ Солнечногорск, деревня Болдино, земельный участок 1Т, и утверждении требований к градостроительным регламентам в границах территорий данных зон"
Номер опубликования: 5000202509180006
Дата опубликования: 18.09.2025
Страница №20 из 28:
Увеличить