Официальное опубликование правовых актов
ОФИЦИАЛЬНОЕ ОПУБЛИКОВАНИЕ
Постановление Правительства Московской области от 01.09.2025 № 1125-ПП
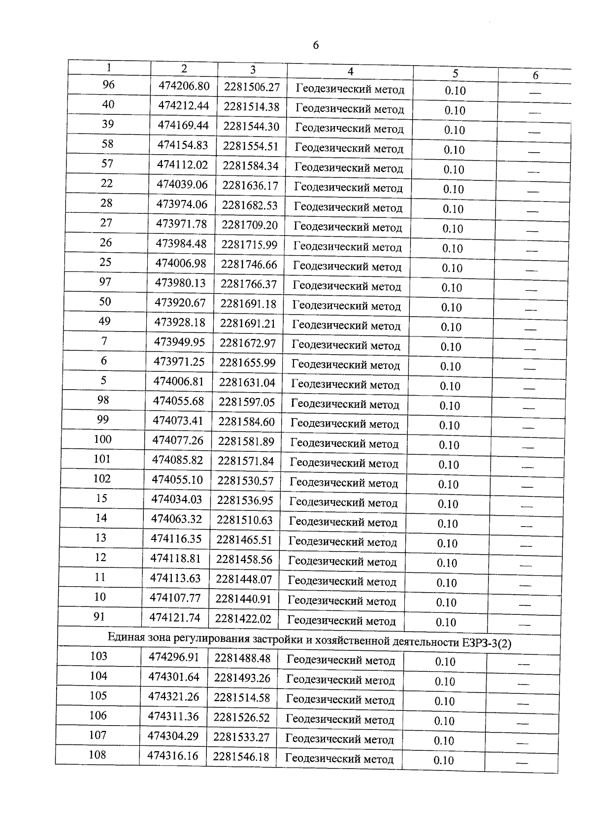
"Об установлении объединенной зоны охраны объекта культурного наследия регионального значения "Здание Никольского училища с домовой церковью святителя Николая, вт. пол. XIX – нач. XX вв.", расположенного по адресу: Московская область, Орехово-Зуевский городской округ, город Орехово-Зуево, проезд Школьный, дом 2, объекта культурного наследия регионального значения "Здание дома Оглоблина – директора фабрик Морозова, где в 1917 г. заседала I-я городская Дума, при выборах в которую Орехово-Зуевцы первыми в России отдали самое большое число голосов кандидатам в депутаты от большевистской партии", расположенного по адресу: Московская область, Орехово-Зуевский городской округ, город Орехово-Зуево, улица Ленина, дом 48, и объекта культурного наследия регионального значения "Дом Свешникова, рубеж XIX-XX вв.", расположенного по адресу: Московская область, Орехово-Зуевский городской округ, город Орехово-Зуево, улица Ленина, дом 54, и об утверждении требований к градостроительным регламентам в границах территории данной зоны"
Номер опубликования: 5000202509040002
Дата опубликования: 04.09.2025
Страница №23 из 30:
Увеличить