Официальное опубликование правовых актов
ОФИЦИАЛЬНОЕ ОПУБЛИКОВАНИЕ
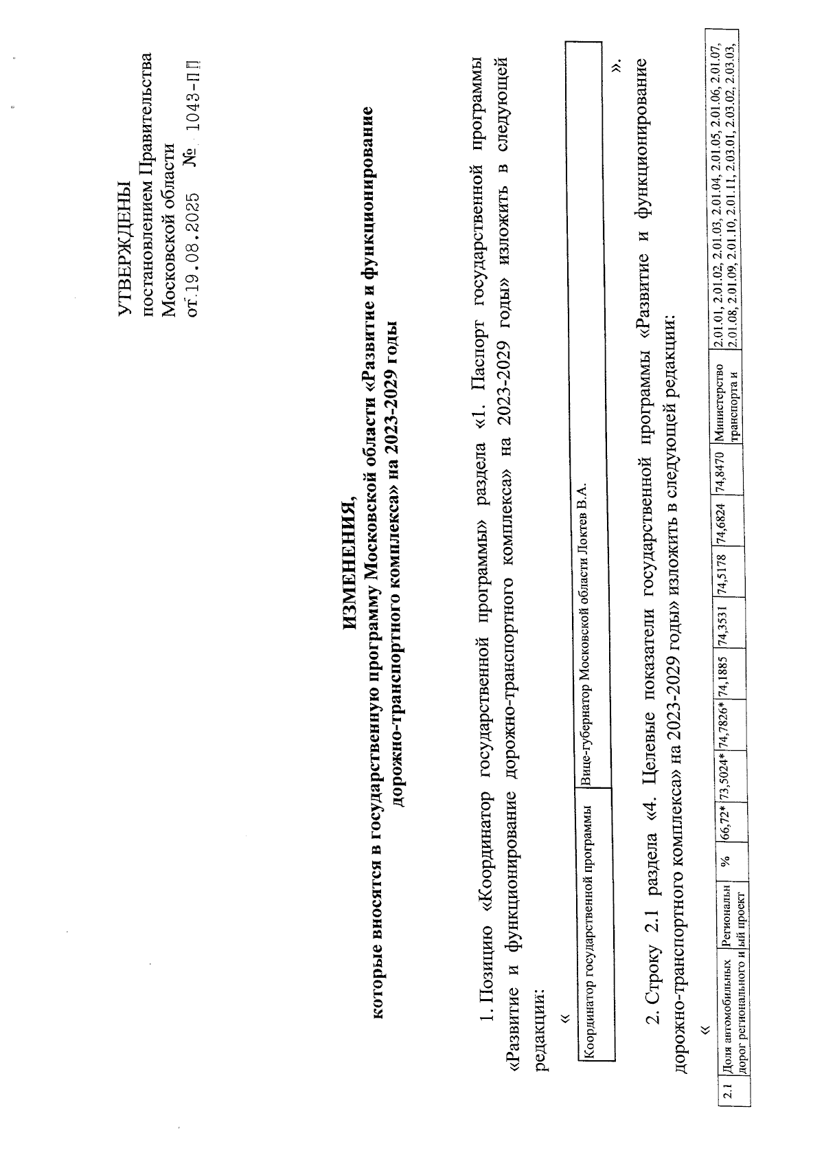
Постановление Правительства Московской области от 19.08.2025 № 1043-ПП
"О внесении изменений в государственную программу Московской области "Развитие и функционирование дорожно-транспортного комплекса" на 2023-2029 годы"
Номер опубликования: 5000202508270002
Дата опубликования: 27.08.2025
Страница №4 из 14:
Увеличить