Официальное опубликование правовых актов
ОФИЦИАЛЬНОЕ ОПУБЛИКОВАНИЕ
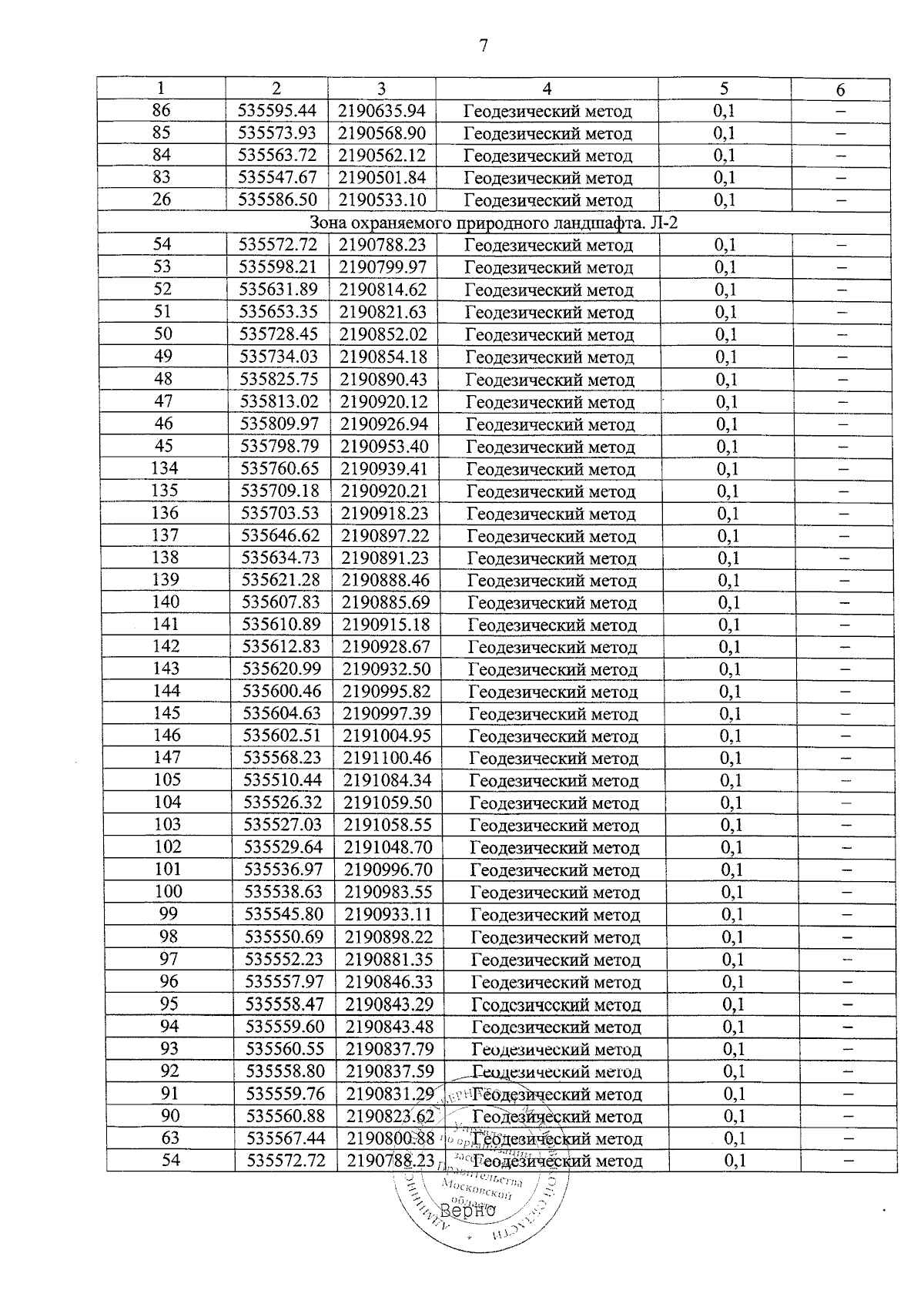
Постановление Правительства Московской области от 04.08.2025 № 946-ПП
"Об установлении зон охраны объекта культурного наследия федерального значения "Сретенская церковь, 1813 г., 1883 г.", расположенного по адресу: Московская область, Дмитровский муниципальный округ, город Дмитров, улица Профессиональная, дом 19, и об утверждении требований к градостроительным регламентам в границах территорий данных зон"
Номер опубликования: 5000202508060007
Дата опубликования: 06.08.2025
Страница №23 из 25:
Увеличить