Официальное опубликование правовых актов
ОФИЦИАЛЬНОЕ ОПУБЛИКОВАНИЕ
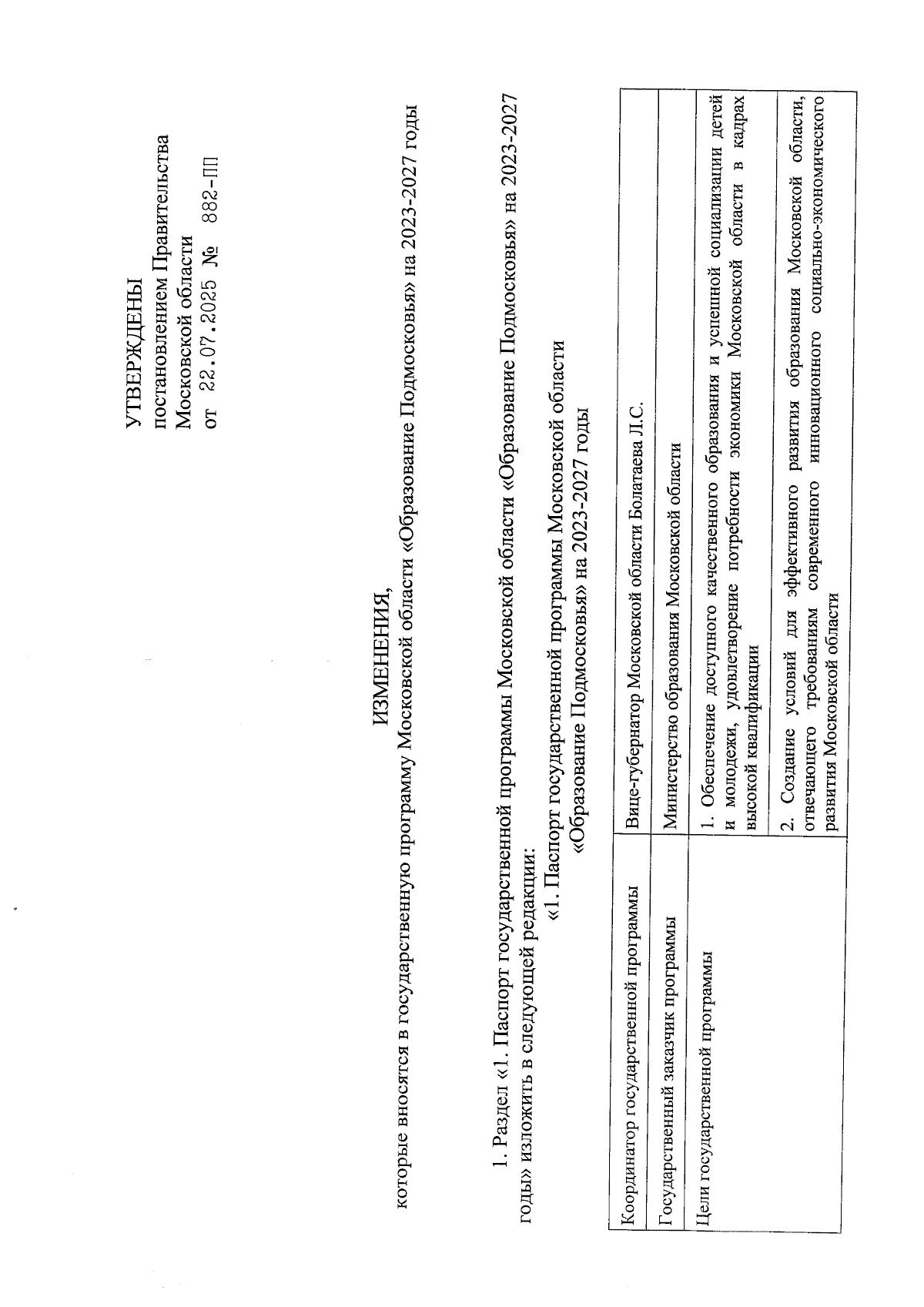
Постановление Правительства Московской области от 22.07.2025 № 882-ПП
"О внесении изменений в государственную программу Московской области "Образование Подмосковья" на 2023-2027 годы"
Номер опубликования: 5000202507280004
Дата опубликования: 28.07.2025
Страница №3 из 8:
Увеличить