Официальное опубликование правовых актов
ОФИЦИАЛЬНОЕ ОПУБЛИКОВАНИЕ
Постановление Правительства Московской области от 24.06.2025 № 702-ПП
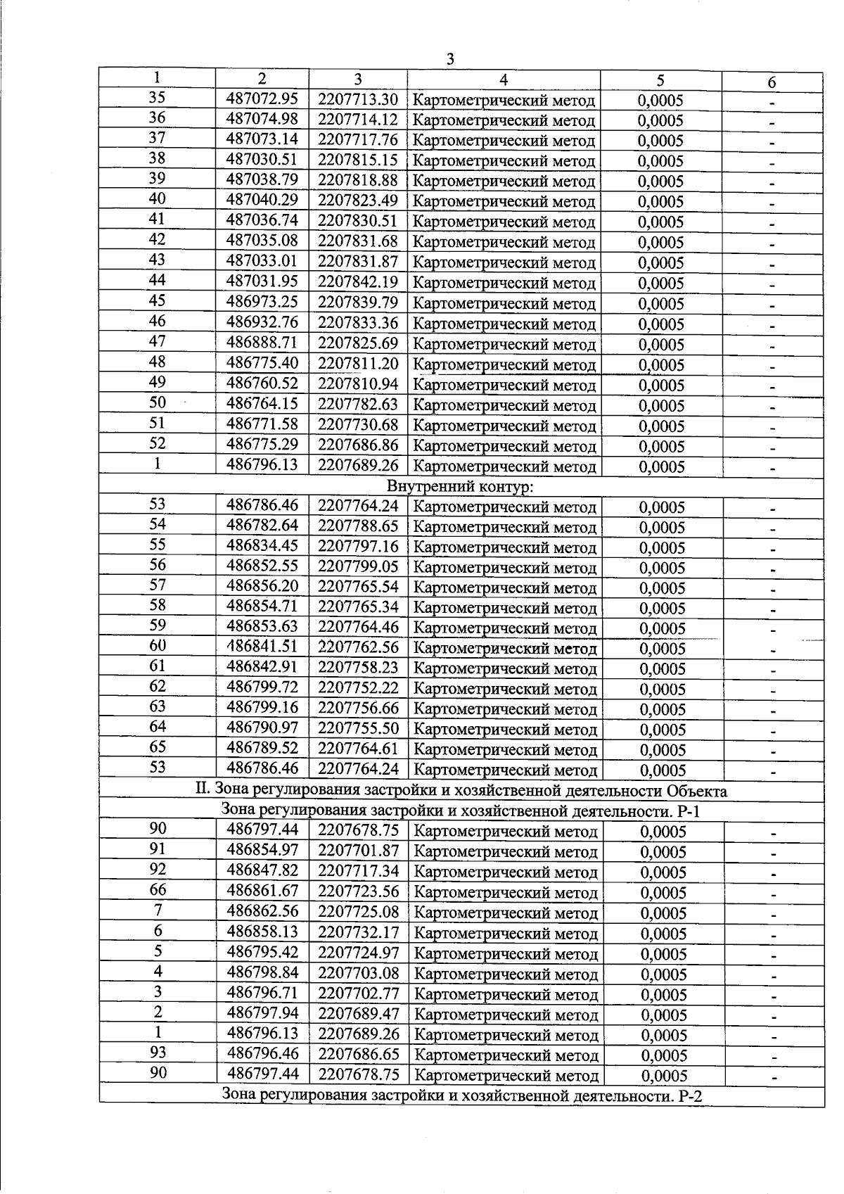
"Об установлении зон охраны объекта культурного наследия регионального значения "Банно-прачечный комплекс, 1930-е гг.", расположенного по адресу: Московская область, городской округ Королёв, город Королёв, улица Ленина, дом 12, и об утверждении требований к градостроительным регламентам в границах территорий данных зон"
Номер опубликования: 5000202506250003
Дата опубликования: 25.06.2025
Страница №13 из 16:
Увеличить