Официальное опубликование правовых актов
ОФИЦИАЛЬНОЕ ОПУБЛИКОВАНИЕ
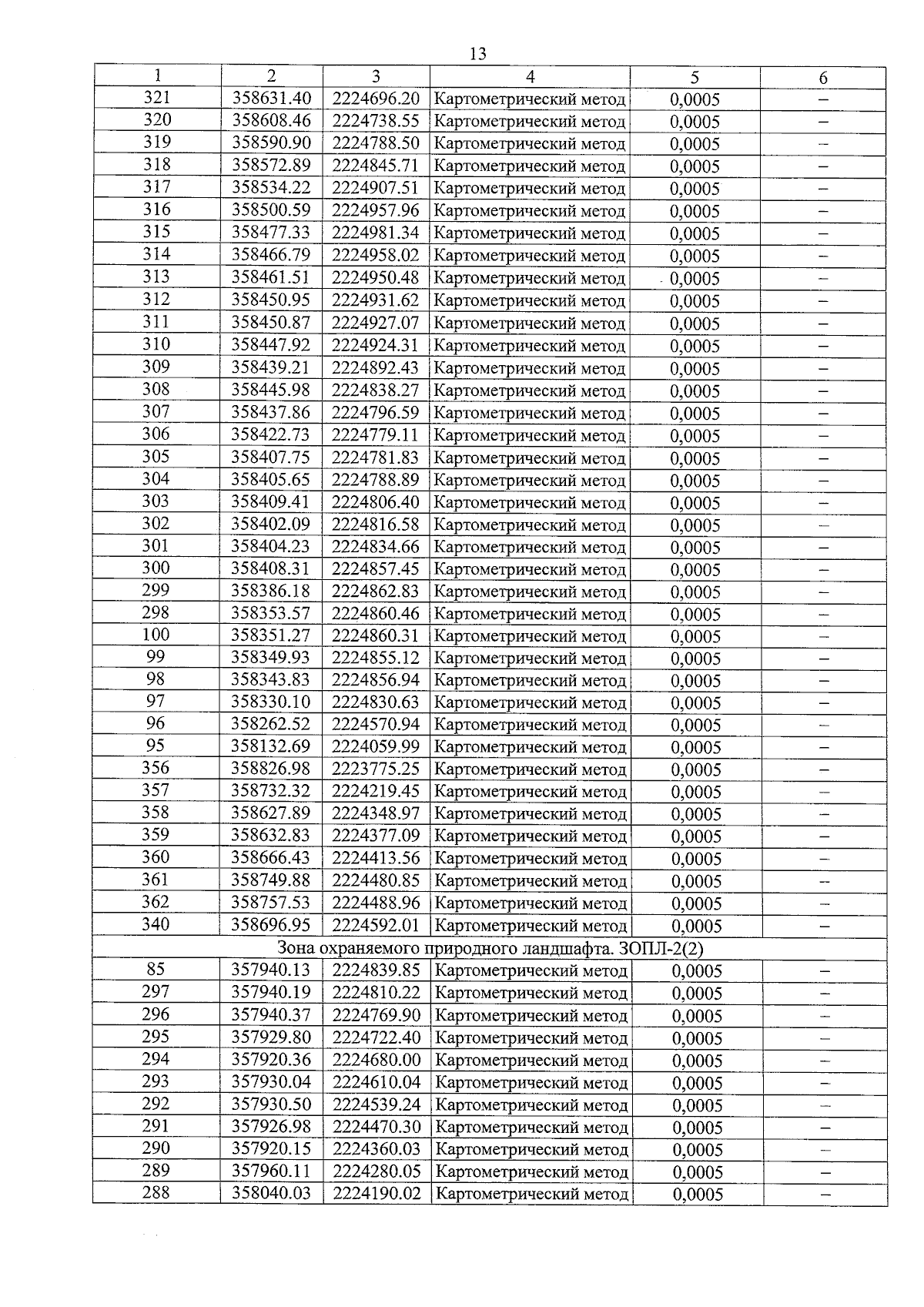
Постановление Правительства Московской области от 31.01.2025 № 83-ПП
"Об установлении зон охраны объекта культурного наследия регионального значения "Усадьба "Стародуб": парк, сер. XVIII - перв. пол. XIX вв.; церковь Преображения Господня, 1826 г.", расположенного по адресу: Московская область, городской округ Кашира, деревня Стародуб, и об утверждении требований к градостроительным регламентам в границах территорий данных зон"
Номер опубликования: 5000202501310007
Дата опубликования: 31.01.2025
Страница №32 из 34:
Увеличить