Официальное опубликование правовых актов
ОФИЦИАЛЬНОЕ ОПУБЛИКОВАНИЕ
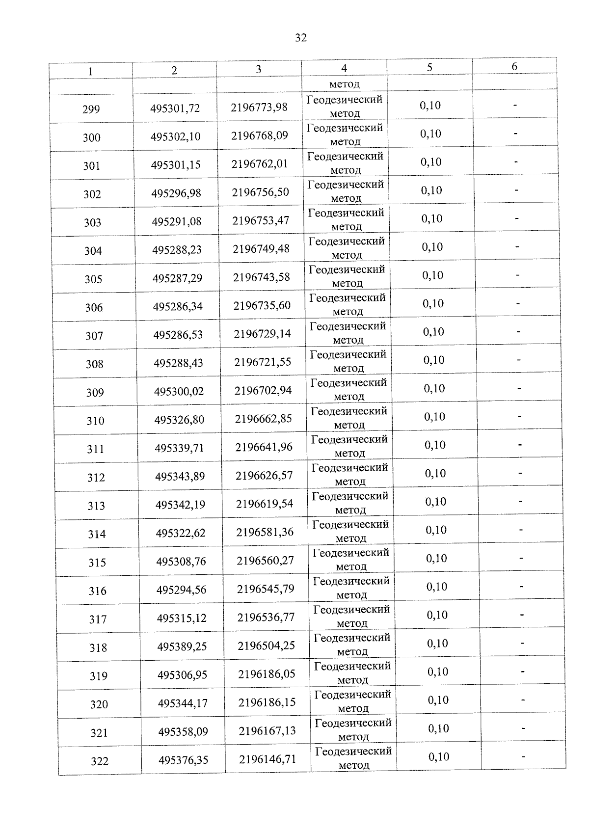
Постановление Правительства Московской области от 16.05.2024 № 456-ПП
"Об установлении объединенной зоны охраны объектов культурного наследия федерального значения "Церковь Рождества Христова, 1699 г.", расположенного по адресу: Московская область, городской округ Мытищи, деревня Осташково, и регионального значения "Часовня", расположенного по адресу: Московская область, городской округ Мытищи, деревня Чиверево, "Здание бывшей подносной фабрики Беляева Е.Ф. и Беляева Д.Е., XIX в.", расположенного по адресу: Московская область, городской округ Мытищи, деревня Жостово, улица Центральная, строение 79/1, "Здание бывшей подносной мастерской Пыжова И.М.", расположенного по адресу: Московская область, городской округ Мытищи, деревня Жостово, улица Центральная, дом 85, "Здание церковно-приходской школы", расположенного по адресу: Московская область, городской округ Мытищи, деревня Жостово, улица Центральная, дом 83, и об утверждении требований к градостроительным регламентам в границах территории данной зоны"
Номер опубликования: 5000202405200002
Дата опубликования: 20.05.2024
Страница №75 из 217:
Увеличить