Официальное опубликование правовых актов
ОФИЦИАЛЬНОЕ ОПУБЛИКОВАНИЕ
Постановление Правительства Магаданской области от 31.03.2025 № 158-пп
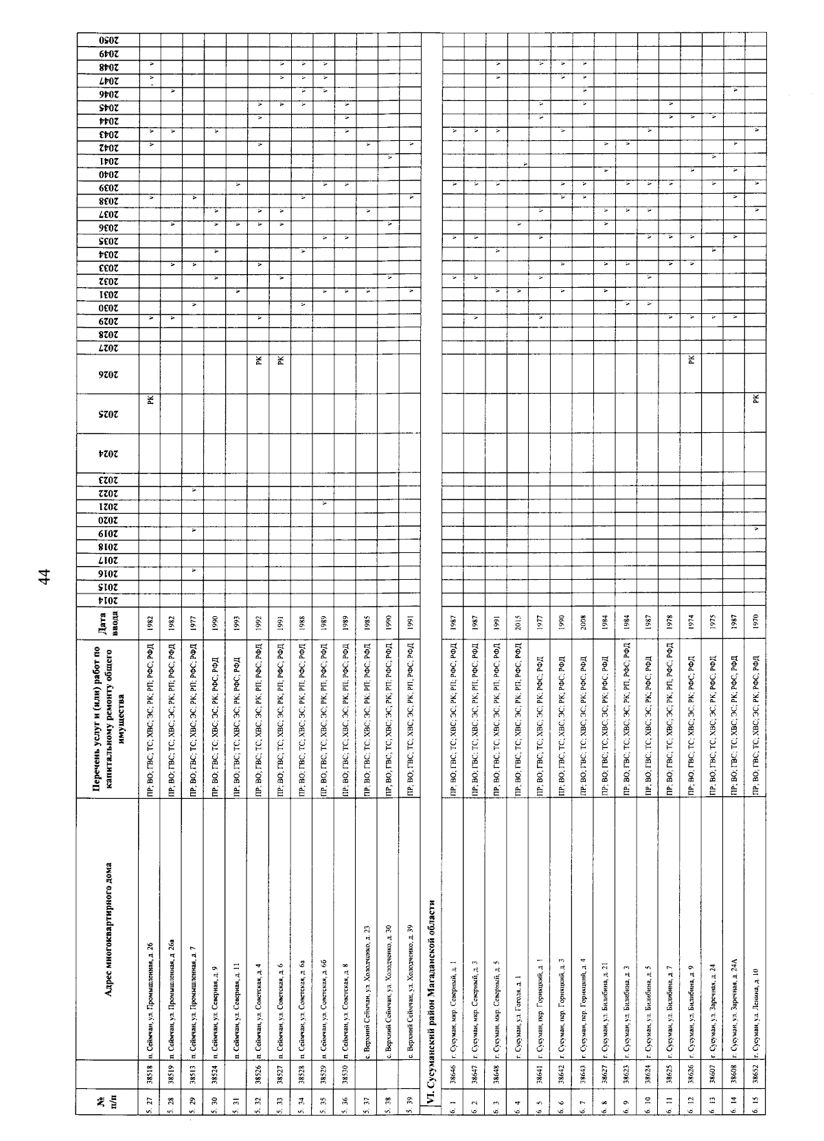
"О внесении изменения в постановление Правительства Магаданской области от 29 мая 2014 г. № 455-пп "Об утверждении Региональной программы "Капитальный ремонт общего имущества многоквартирных домов, расположенных на территории Магаданской области" на период по 2050 год"
Номер опубликования: 4900202504010006
Дата опубликования: 01.04.2025
Страница №45 из 55:
Увеличить