Официальное опубликование правовых актов
ОФИЦИАЛЬНОЕ ОПУБЛИКОВАНИЕ
Постановление Правительства Магаданской области от 31.01.2023 № 37-пп
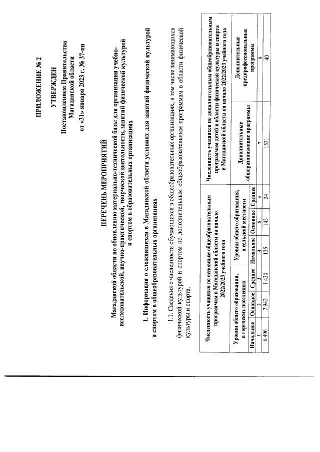
"Об утверждении Перечня мероприятий Магаданской области по обновлению материально-технической базы для организации учебно-исследовательской, научно-практической, творческой деятельности, занятий физической культурой и спортом в образовательных организациях"
Номер опубликования: 4900202301310005
Дата опубликования: 31.01.2023
Страница №7 из 30:
Увеличить