Официальное опубликование правовых актов
ОФИЦИАЛЬНОЕ ОПУБЛИКОВАНИЕ
Постановление Правительства Магаданской области от 23.12.2022 № 1047-пп
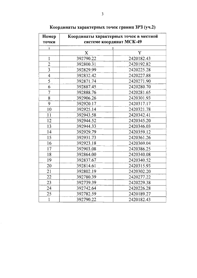
"Об утверждении зоны охраны объекта культурного наследия регионального значения "Здание бывшего управления "Дальстроя", ныне объединения "Северовостокзолото", расположенного по адресу: Магаданская область, г. Магадан, ул. Пролетарская, 12"
Номер опубликования: 4900202212260009
Дата опубликования: 26.12.2022
Страница №8 из 15:
Увеличить