Официальное опубликование правовых актов
ОФИЦИАЛЬНОЕ ОПУБЛИКОВАНИЕ
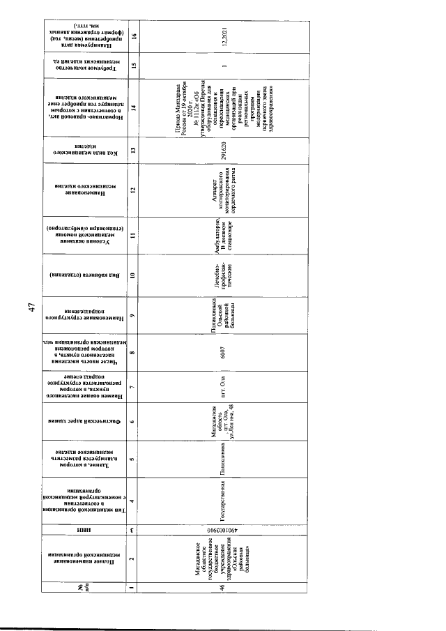
Постановление Правительства Магаданской области от 11.11.2022 № 894-пп
"О внесении изменений в постановление Правительства Магаданской области от 15 декабря 2020 г. № 851-пп "Об утверждении Программы модернизации первичного звена здравоохранения Магаданской области"
Номер опубликования: 4900202211140005
Дата опубликования: 14.11.2022
Страница №62 из 167:
Увеличить