Официальное опубликование правовых актов
ОФИЦИАЛЬНОЕ ОПУБЛИКОВАНИЕ
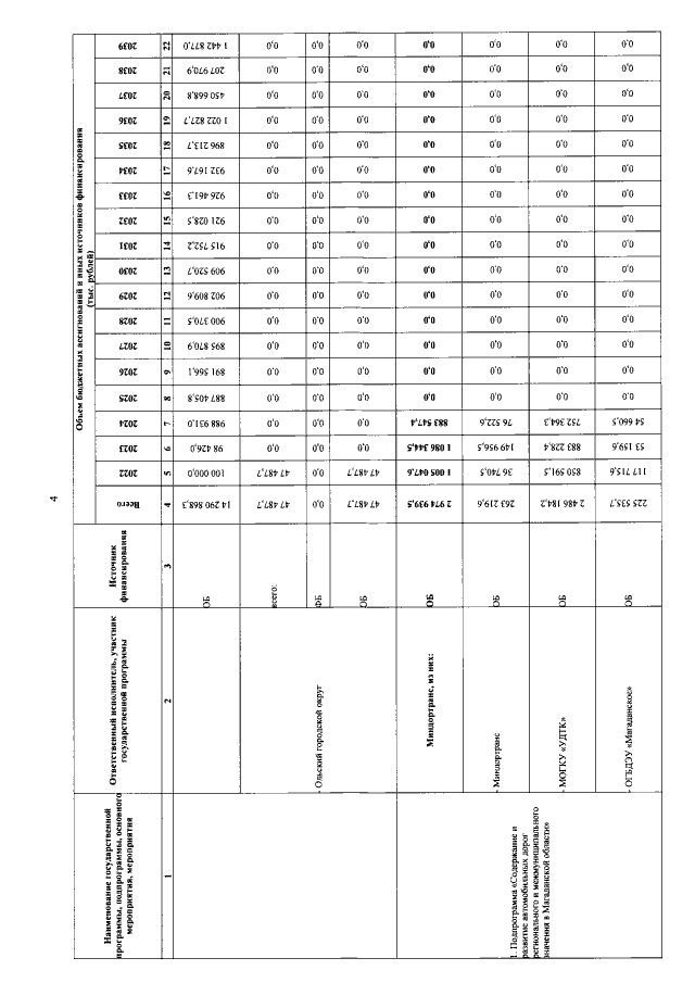
Постановление Правительства Магаданской области от 25.08.2022 № 705-пп
"О внесении изменений в постановление Правительства Магаданской области от 29 декабря 2021 г. № 1075-пп "Об утверждении государственной программы Магаданской области "Развитие транспортной системы в Магаданской области"
Номер опубликования: 4900202208300003
Дата опубликования: 30.08.2022
Страница №23 из 61:
Увеличить