Официальное опубликование правовых актов
ОФИЦИАЛЬНОЕ ОПУБЛИКОВАНИЕ
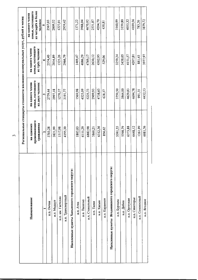
Постановление Правительства Магаданской области от 09.08.2022 № 666-пп
"О региональных стандартах стоимости жилищно-коммунальных услуг в 2022 году"
Номер опубликования: 4900202208110004
Дата опубликования: 11.08.2022
Страница №7 из 22:
Увеличить