Официальное опубликование правовых актов
ОФИЦИАЛЬНОЕ ОПУБЛИКОВАНИЕ
Постановление Правительства Магаданской области от 27.07.2022 № 639-пп
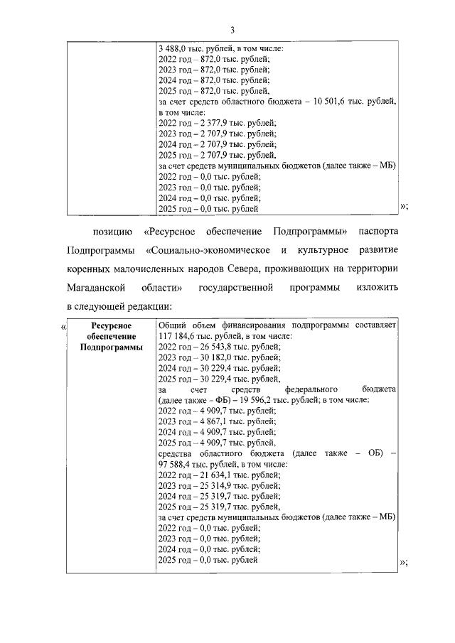
"О внесении изменений в постановление Правительства Магаданской области от 30 декабря 2021 г. № 1079-пп "Об утверждении государственной программы Магаданской области "Содействие развитию институтов гражданского общества и реализация государственной национальной политики в Магаданской области"
Номер опубликования: 4900202207280005
Дата опубликования: 28.07.2022
Страница №3 из 33:
Увеличить