Официальное опубликование правовых актов
ОФИЦИАЛЬНОЕ ОПУБЛИКОВАНИЕ
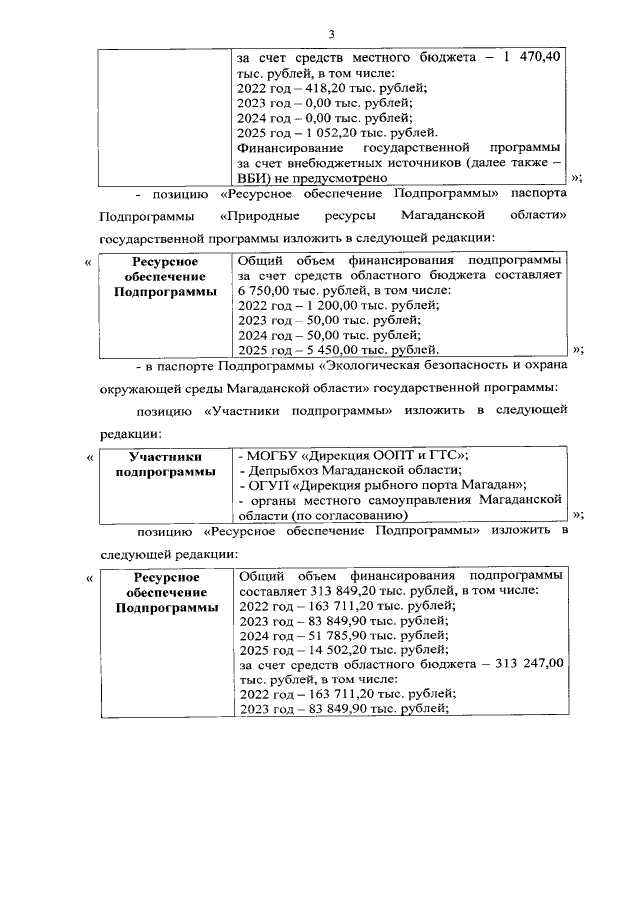
Постановление Правительства Магаданской области от 12.05.2022 № 412-пп
"О внесении изменений в постановление Правительства Магаданской области от 08 октября 2021 г. № 771-пп "Об утверждении государственной программы Магаданской области "Природные ресурсы и экология Магаданской области"
Номер опубликования: 4900202205130006
Дата опубликования: 13.05.2022
Страница №3 из 45:
Увеличить