Официальное опубликование правовых актов
ОФИЦИАЛЬНОЕ ОПУБЛИКОВАНИЕ
Постановление Правительства Магаданской области от 18.03.2022 № 219-пп
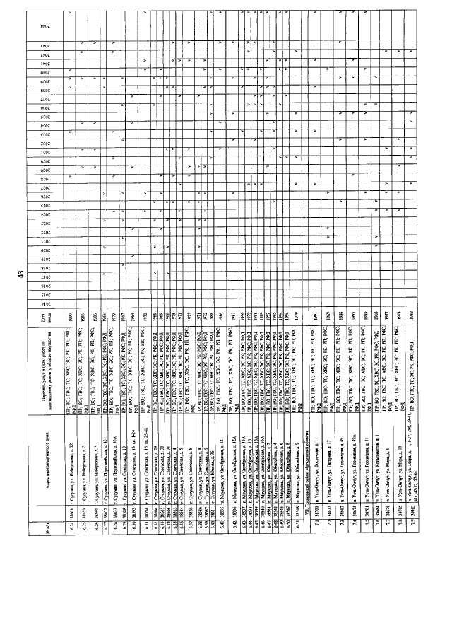
"О внесении изменений в постановление Правительства Магаданской области от 29 мая 2014 г. № 455-пп "Об утверждении региональной программы "Капитальный ремонт общего имущества многоквартирных домов, расположенных на территории Магаданской области" на период по 2044 год"
Номер опубликования: 4900202203230007
Дата опубликования: 23.03.2022
Страница №44 из 52:
Увеличить