Официальное опубликование правовых актов
ОФИЦИАЛЬНОЕ ОПУБЛИКОВАНИЕ
Постановление Правительства Магаданской области от 13.01.2022 № 2-пп
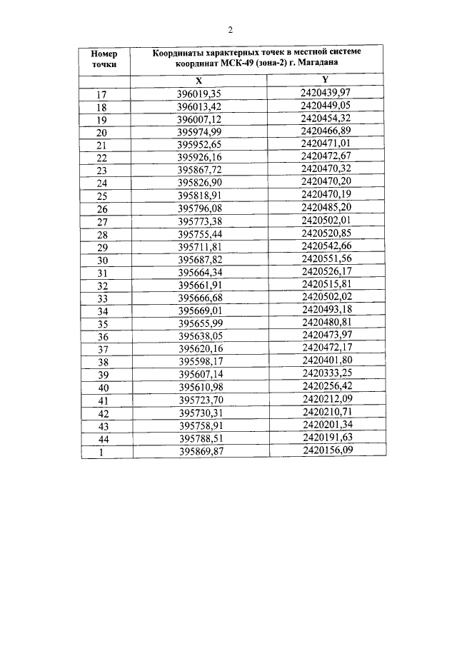
"Об утверждении зоны охраны объекта культурного наследия регионального значения "Мемориальный комплекс жертвам политических репрессий "Маска Скорби", расположенного по адресу: Магаданская область, г. Магадан, юго-восточный склон сопки "Крутая"
Номер опубликования: 4900202201180005
Дата опубликования: 18.01.2022
Страница №4 из 8:
Увеличить