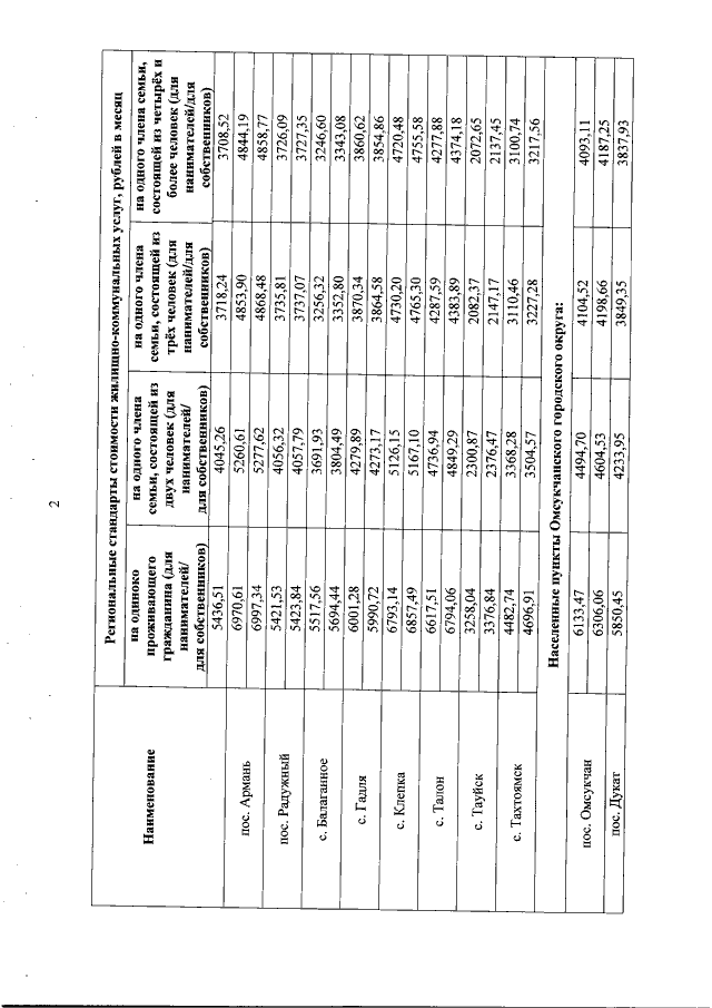
Постановление Правительства Магаданской области от 22.05.2020 № 369-пп
"О региональных стандартах стоимости жилищно-коммунальных услуг в 2020 году"
"О региональных стандартах стоимости жилищно-коммунальных услуг в 2020 году"
Номер опубликования: 4900202005250009
Дата опубликования:
25.05.2020
