Официальное опубликование правовых актов
ОФИЦИАЛЬНОЕ ОПУБЛИКОВАНИЕ
Постановление Правительства Магаданской области от 13.12.2019 № 851-пп
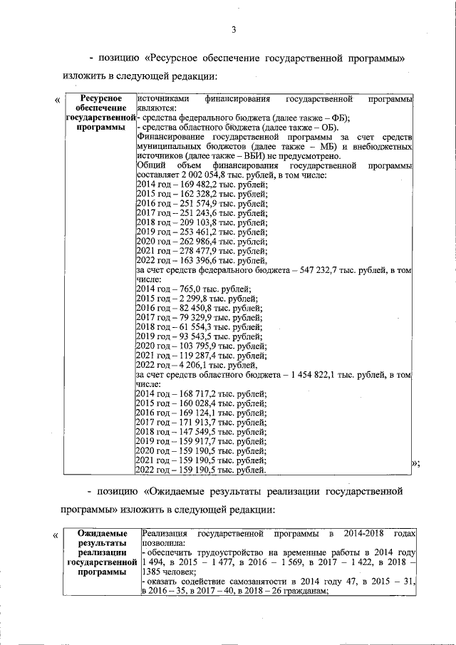
"О внесении изменений в постановление администрации Магаданской области от 31 октября 2013 г. № 1051-па "Об утверждении государственной программы Магаданской области "Трудовые ресурсы Магаданской области"
Номер опубликования: 4900201912180017
Дата опубликования: 18.12.2019
Страница №3 из 60:
Увеличить