Официальное опубликование правовых актов
ОФИЦИАЛЬНОЕ ОПУБЛИКОВАНИЕ
Приказ министерства строительства и архитектуры Липецкой области от 21.04.2026 № 94
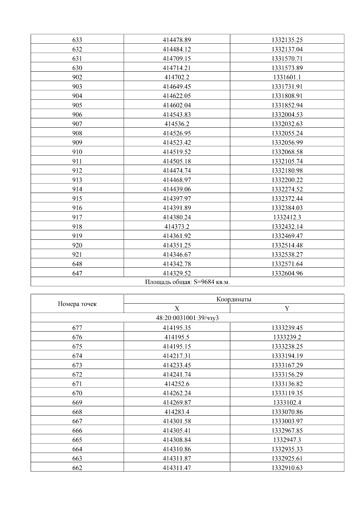
"Об утверждении документации по планировке территории (проект планировки территории, проект межевания территории в составе проекта планировки территории) линейного объекта: "Реконструкция автодороги в районе улицы З. Космодемьянской и Грязинского шоссе в городе Липецке"
Номер опубликования: 4801202604230002
Дата опубликования: 23.04.2026
Страница №136 из 183:
Увеличить