Официальное опубликование правовых актов
ОФИЦИАЛЬНОЕ ОПУБЛИКОВАНИЕ
Приказ министерства строительства и архитектуры Липецкой области от 20.04.2026 № 90
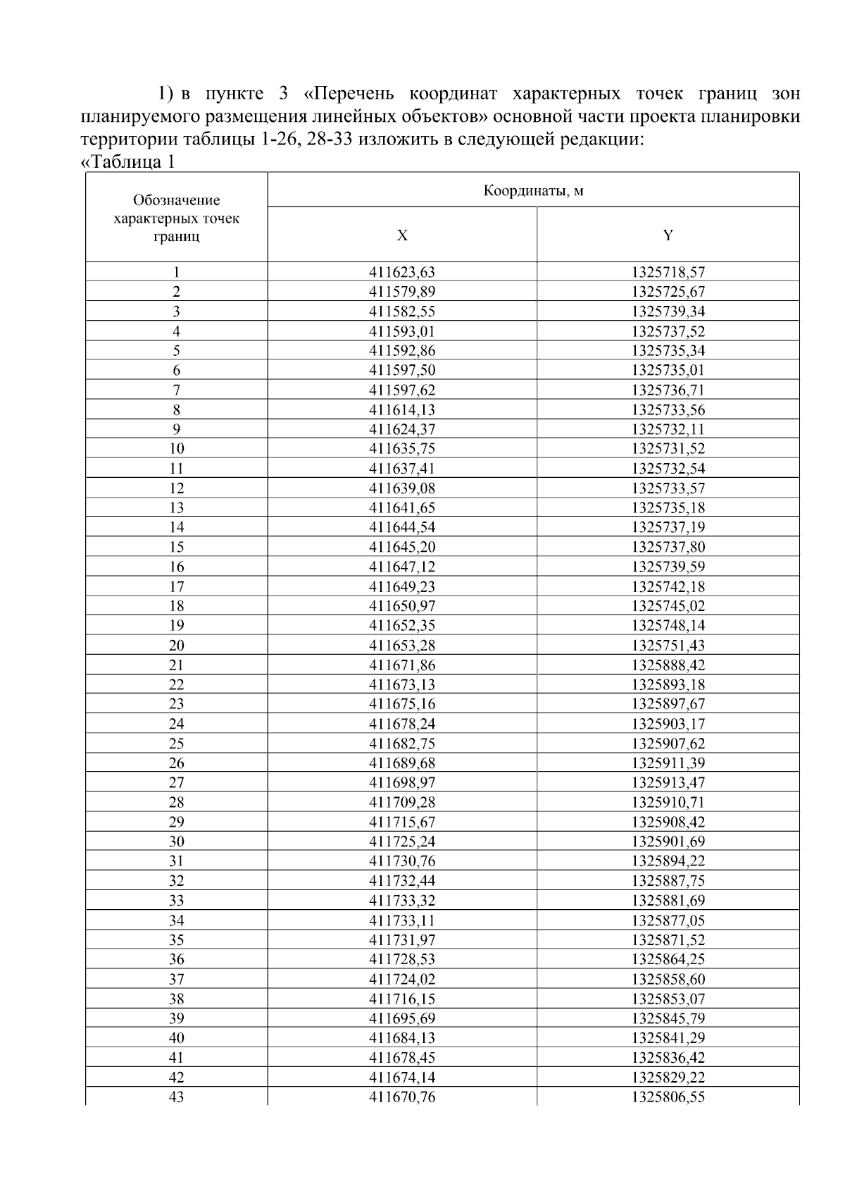
"О внесении изменений в приказ управления строительства и архитектуры Липецкой области от 22.08.2024 № 340 "Об утверждении документации по планировке территории (проект планировки и проект межевания) линейного объекта: "Реконструкция и строительство трамвайных путей на территории города Липецка"
Номер опубликования: 4801202604220001
Дата опубликования: 22.04.2026
Страница №2 из 112:
Увеличить