Официальное опубликование правовых актов
ОФИЦИАЛЬНОЕ ОПУБЛИКОВАНИЕ
Приказ министерства имущественных и земельных отношений Липецкой области от 02.04.2026 № 26
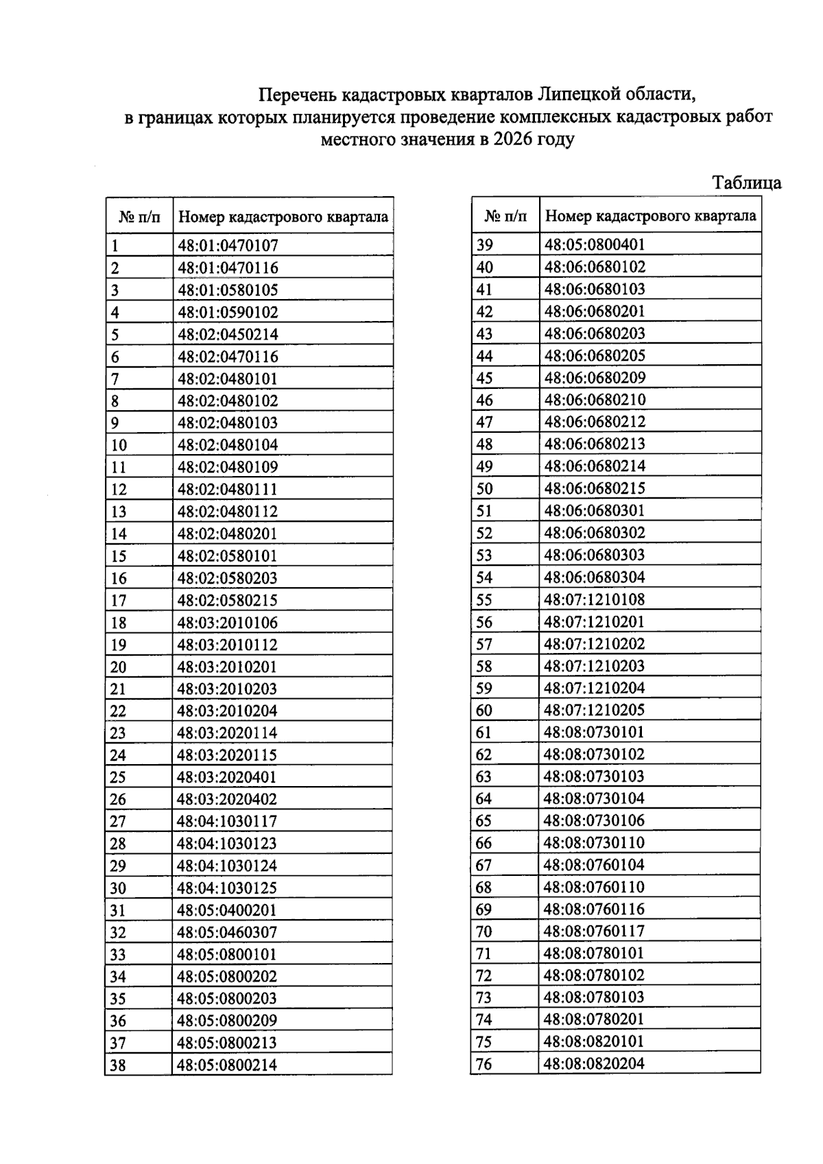
"О внесении изменения в приказ министерства имущественных и земельных отношений Липецкой области от 6 июня 2025 года № 55 "Об утверждении перечней кадастровых кварталов Липецкой области, в границах которых планируется проведение комплексных кадастровых работ местного значения в 2025 - 2026 годах"
Номер опубликования: 4801202604070003
Дата опубликования: 07.04.2026
Страница №2 из 6:
Увеличить