Официальное опубликование правовых актов
ОФИЦИАЛЬНОЕ ОПУБЛИКОВАНИЕ
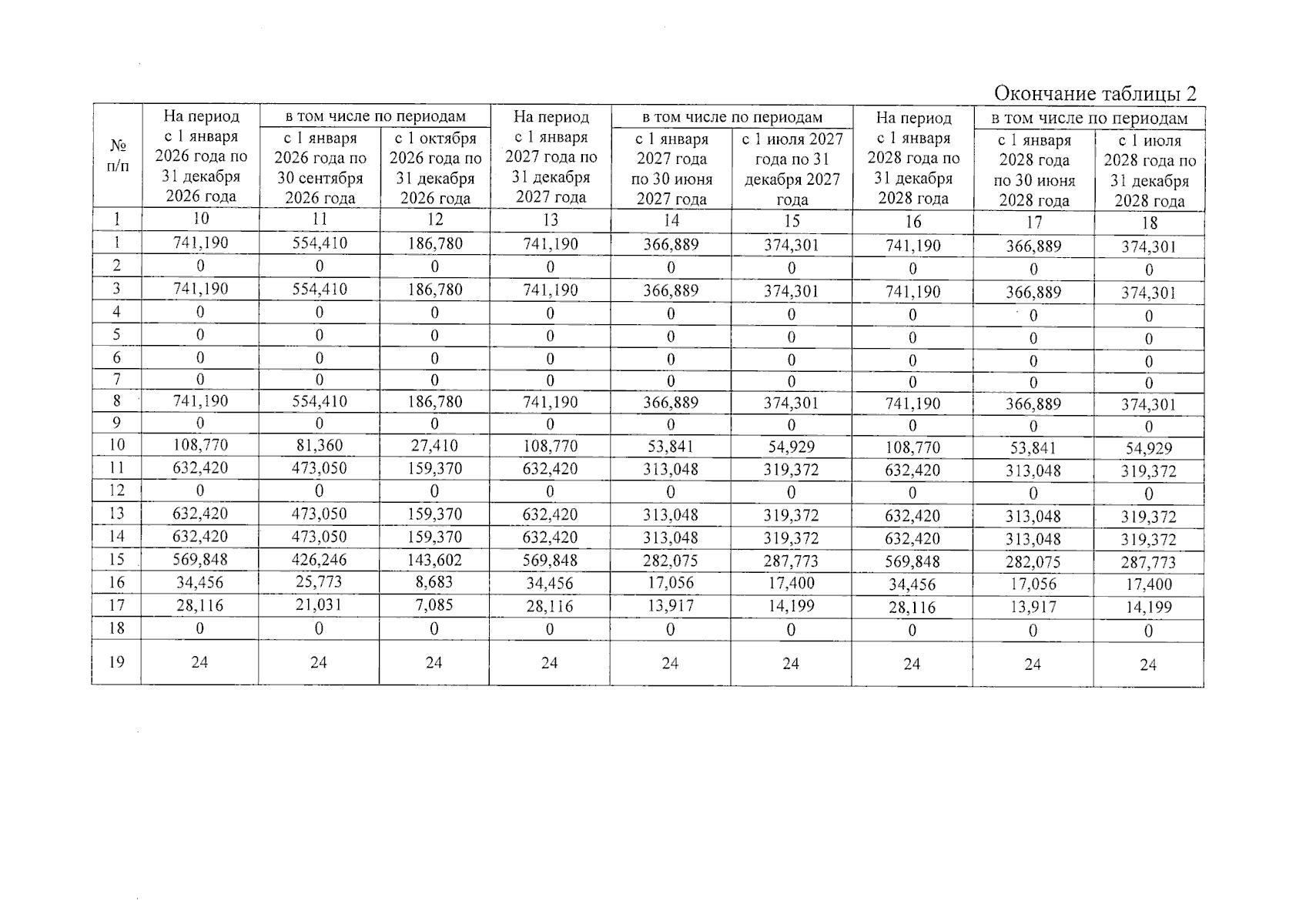
Постановление министерства энергетики и тарифов Липецкой области от 17.12.2025 № 52/25
"О внесении изменений в постановление управления энергетики и тарифов Липецкой области от 14 декабря 2023 года № 64/30 "О тарифах на питьевую воду и долгосрочных параметрах регулирования МУП "Тербунский водоканал" (ИНН 4815007492) на 2024-2028 годы"
(Зарегистрирован 18.12.2025 № ГР-420)
Номер опубликования: 4801202512190006
Дата опубликования: 19.12.2025
Страница №5 из 10:
Увеличить