Официальное опубликование правовых актов
ОФИЦИАЛЬНОЕ ОПУБЛИКОВАНИЕ
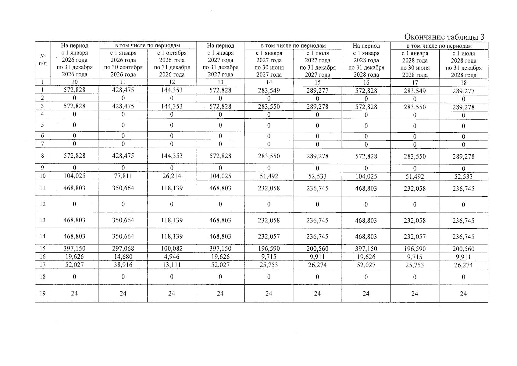
Постановление министерства энергетики и тарифов Липецкой области от 17.12.2025 № 52/20
"О внесении изменений в постановление управления энергетики и тарифов Липецкой области от 14 декабря 2023 года № 64/21 "О тарифах на питьевую воду и долгосрочных параметрах регулирования МУП "Долгоруковский водоканал" (ИНН 4806016645) на 2024-2028 годы"
(Зарегистрирован 18.12.2025 № ГР-415)
Номер опубликования: 4801202512180025
Дата опубликования: 18.12.2025
Страница №5 из 10:
Увеличить