Официальное опубликование правовых актов
ОФИЦИАЛЬНОЕ ОПУБЛИКОВАНИЕ
Постановление министерства энергетики и тарифов Липецкой области от 17.12.2025 № 52/17
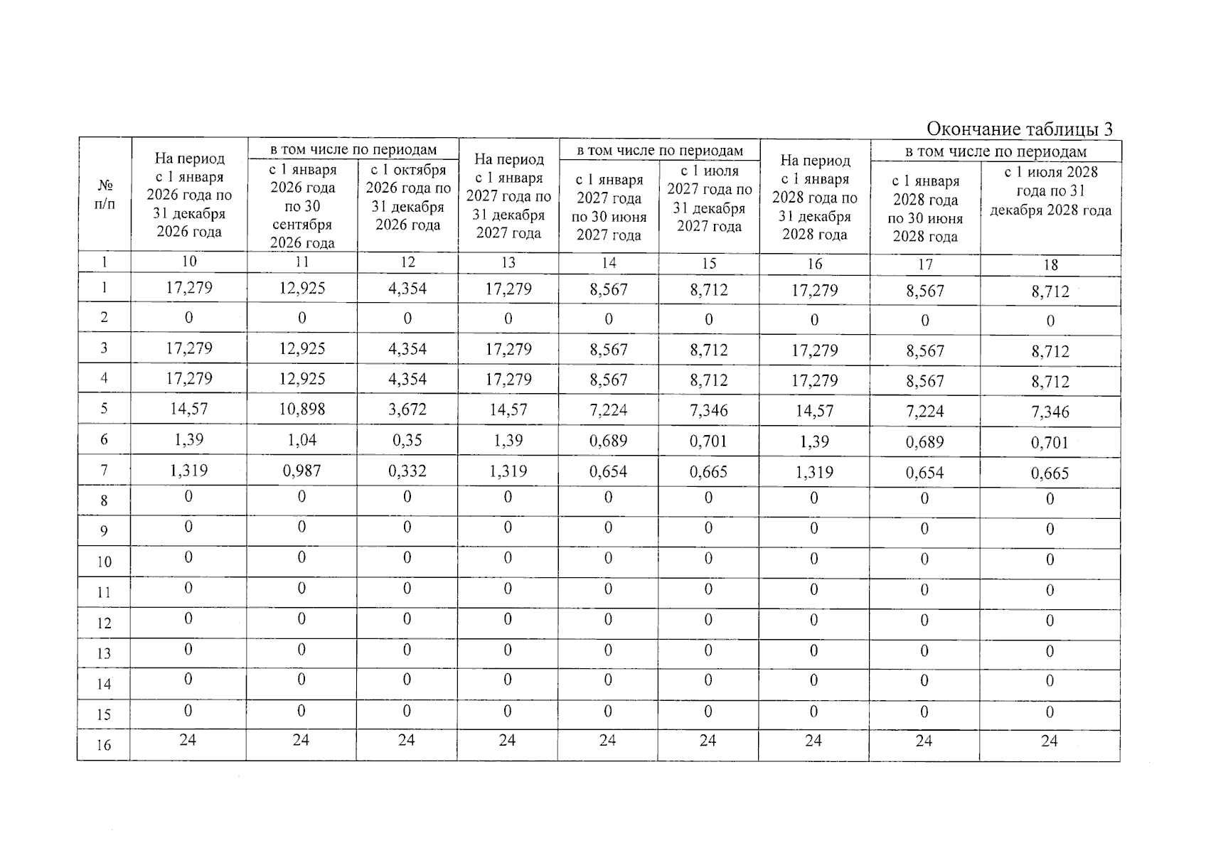
"О внесении изменений в постановление управления энергетики и тарифов Липецкой области от 14 декабря 2023 года № 64/7 "О тарифах на водоотведение и долгосрочных параметрах регулирования МУП "Хлевенский водоканал" (ИНН 4817006367) на 2024-2028 годы"
(Зарегистрирован 18.12.2025 № ГР-412)
Номер опубликования: 4801202512180016
Дата опубликования: 18.12.2025
Страница №13 из 18:
Увеличить