Официальное опубликование правовых актов
ОФИЦИАЛЬНОЕ ОПУБЛИКОВАНИЕ
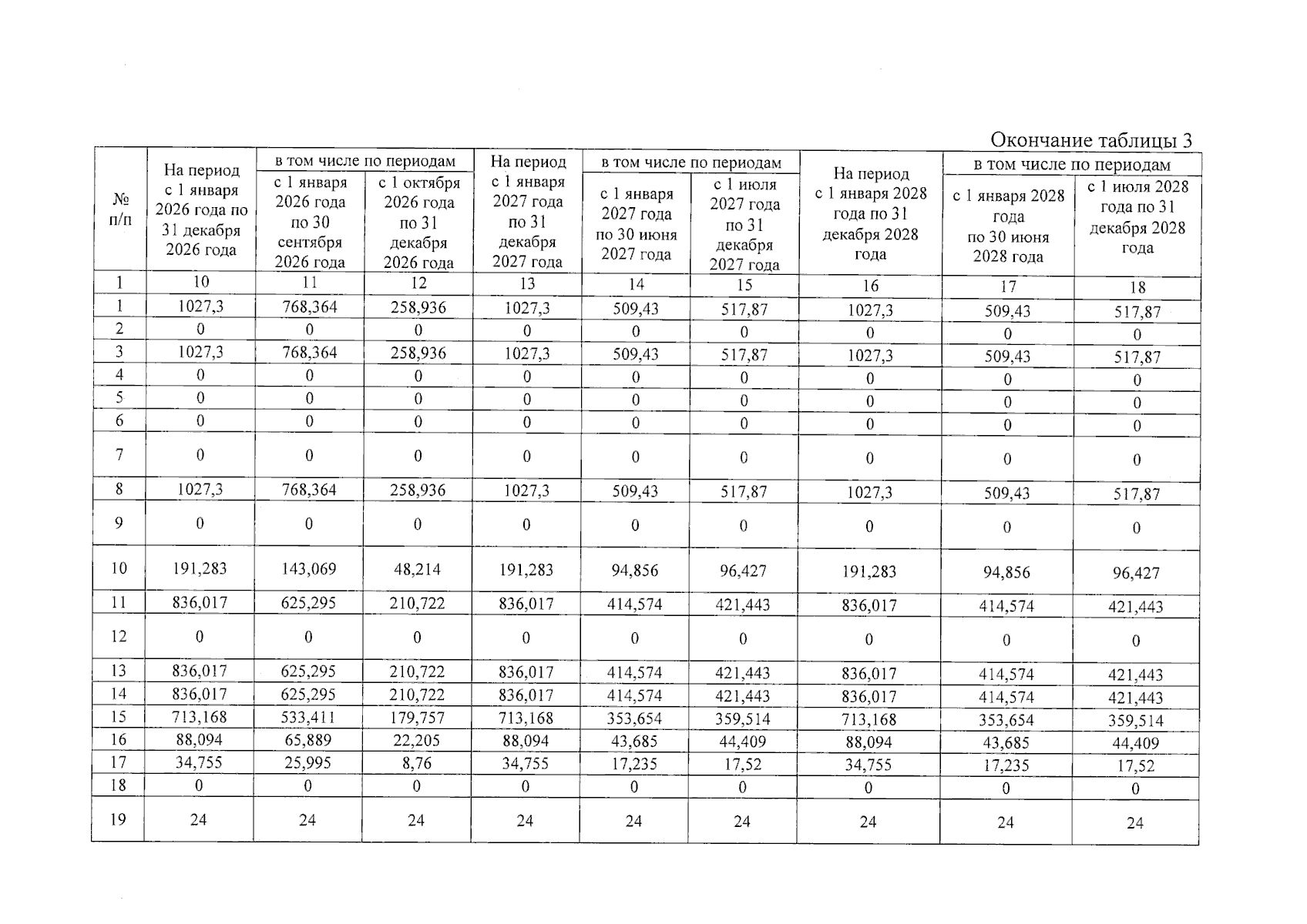
Постановление министерства энергетики и тарифов Липецкой области от 17.12.2025 № 52/12
"О внесении изменений в постановление управления энергетики и тарифов Липецкой области от 14 декабря 2023 года № 64/4 "О тарифах на питьевую воду и долгосрочных параметрах регулирования МУП "Усманский водоканал" (ИНН 4816024892) на территории Усманского муниципального района Липецкой области, за исключением территории военного городка № 4 села Пригородка сельского поселения Пригородный сельсовет Усманского муниципального района Липецкой области, на 2024-2028 годы"
(Зарегистрирован 18.12.2025 № ГР-407)
Номер опубликования: 4801202512180015
Дата опубликования: 18.12.2025
Страница №6 из 11:
Увеличить