Официальное опубликование правовых актов
ОФИЦИАЛЬНОЕ ОПУБЛИКОВАНИЕ
Постановление министерства энергетики и тарифов Липецкой области от 17.12.2025 № 52/7
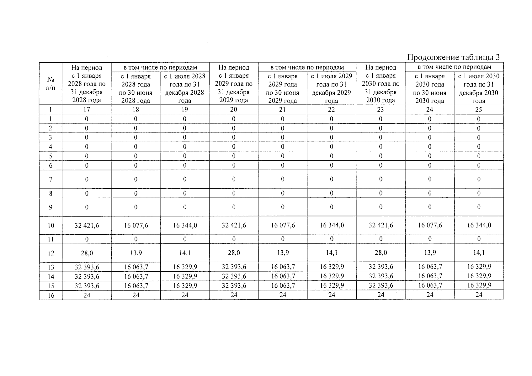
"О внесении изменений в постановление управления энергетики и тарифов Липецкой области от 30 мая 2023 года № 20/1 "О тарифах на водоотведение (в части очистки сточных вод) и долгосрочных параметрах регулирования ООО "РВК-Липецк" (ИНН 7730263904) на период с 2 июня 2023 года по 31 декабря 2048 года"
(Зарегистрирован 18.12.2025 № ГР-400)
Номер опубликования: 4801202512180009
Дата опубликования: 18.12.2025
Страница №8 из 29:
Увеличить