Официальное опубликование правовых актов
ОФИЦИАЛЬНОЕ ОПУБЛИКОВАНИЕ
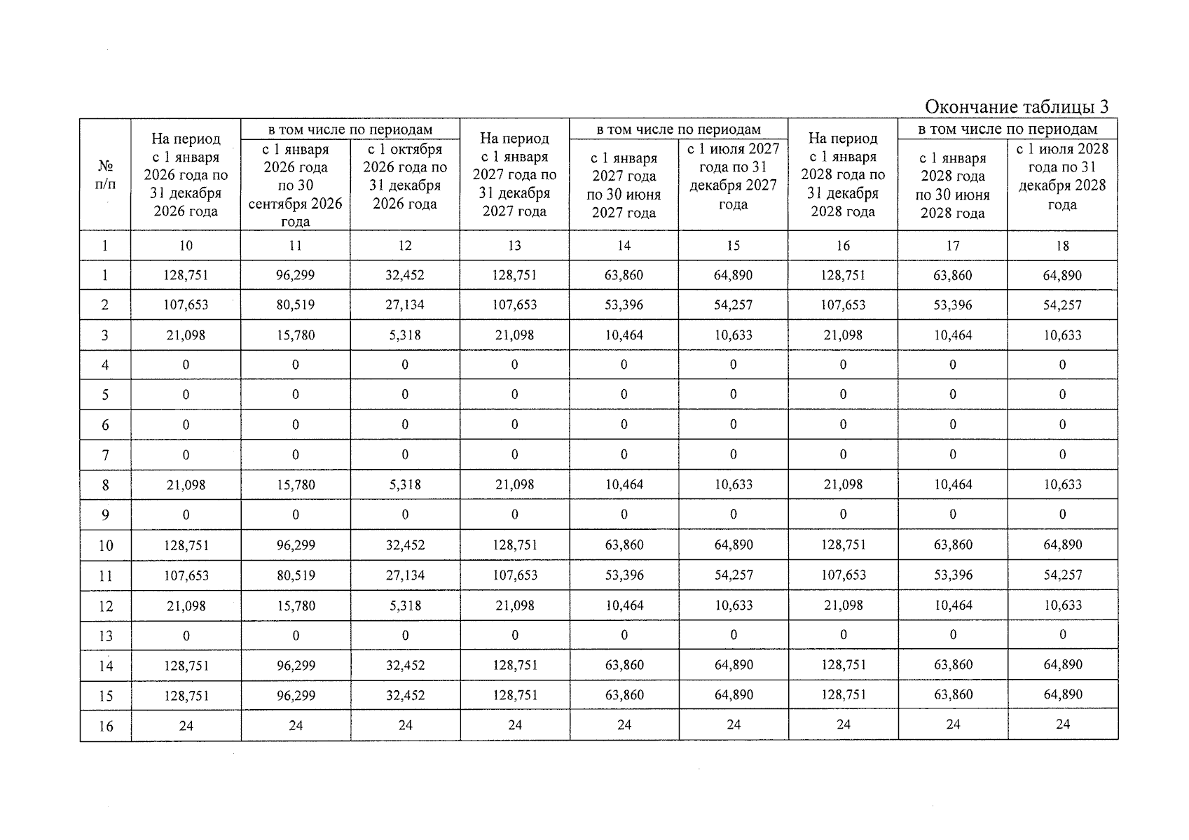
Постановление министерства энергетики и тарифов Липецкой области от 11.12.2025 № 48/11 "О внесении изменений в постановление управления энергетики и тарифов Липецкой области от 12 декабря 2023 года № 62/4 "О тарифах на водоотведение и долгосрочных параметрах регулирования ОАО "Лебедянский сахарный завод" (ИНН 4811005871) на 2024-2028 годы"
(Зарегистрирован 12.12.2025 № ГР-301)
Номер опубликования: 4801202512150009
Дата опубликования: 15.12.2025
Страница №5 из 10:
Увеличить