Официальное опубликование правовых актов
ОФИЦИАЛЬНОЕ ОПУБЛИКОВАНИЕ
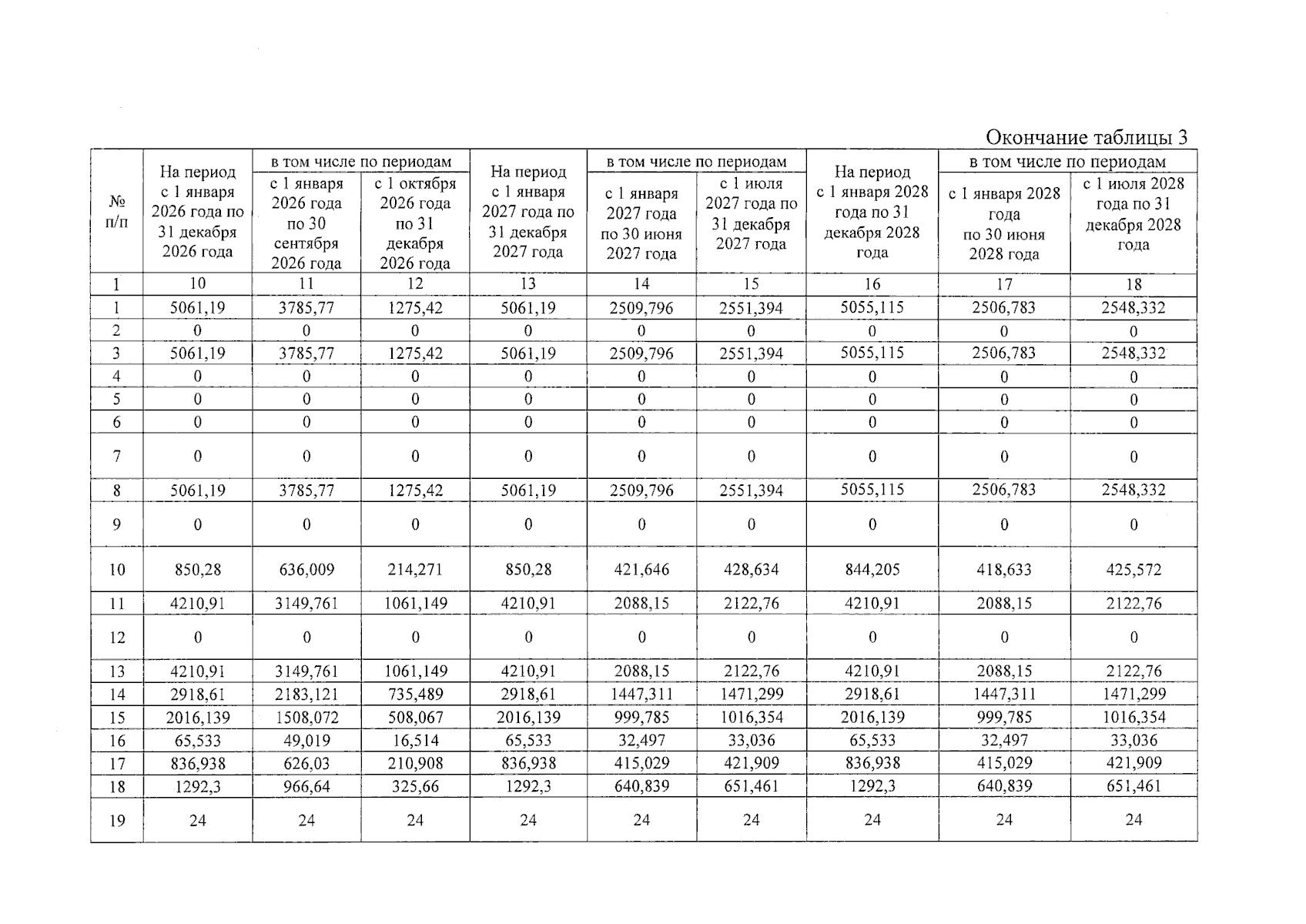
Постановление министерства энергетики и тарифов Липецкой области от 11.12.2025 № 48/14 "О внесении изменений в постановление управления энергетики и тарифов Липецкой области от 11 декабря 2023 года № 61/8 "О тарифах на питьевую воду и долгосрочных параметрах регулирования ООО "Водоканал" (ИНН 4802011639) на территории Грязинского муниципального района Липецкой области, за исключением территории поселка Сухоборье сельского поселения Карамышевский сельсовет, села Синявка и деревни Красные Выселки сельского поселения Кузовский сельсовет Грязинского муниципального района Липецкой области, на 2024-2028 годы"
(Зарегистрирован 12.12.2025 № ГР-304)
Номер опубликования: 4801202512150006
Дата опубликования: 15.12.2025
Страница №6 из 12:
Увеличить