Официальное опубликование правовых актов
ОФИЦИАЛЬНОЕ ОПУБЛИКОВАНИЕ
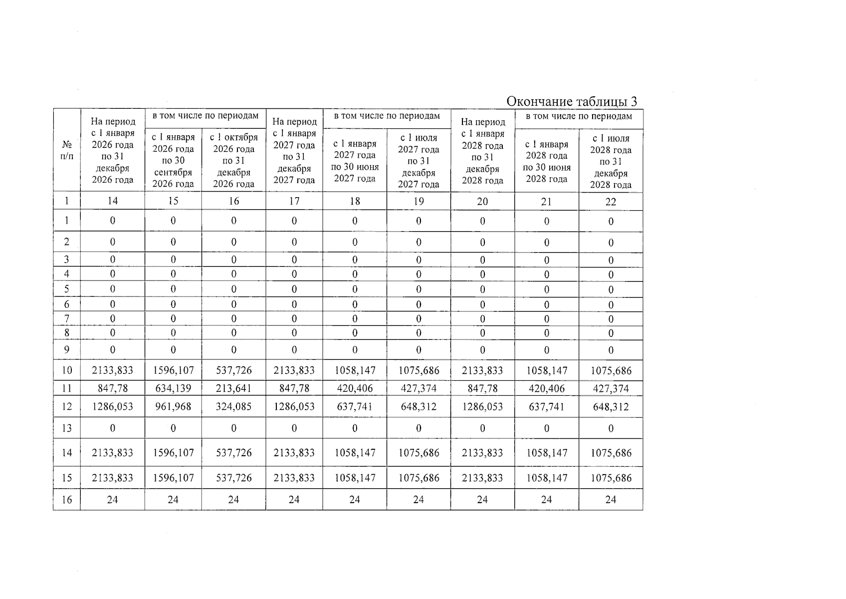
Постановление министерства энергетики и тарифов Липецкой области от 11.12.2025 № 48/17 "О внесении изменений в постановление управления энергетики и тарифов Липецкой области от 10 декабря 2021 года № 40/5 "О тарифах на водоотведение (в части очистки сточных вод, которые принимаются непосредственно на очистные сооружения) и долгосрочных параметрах регулирования ООО "Водоканал" (ИНН 4802011639) на 2022-2028 годы"
(Зарегистрирован 12.12.2025 № ГР-307)
Номер опубликования: 4801202512150003
Дата опубликования: 15.12.2025
Страница №6 из 12:
Увеличить