Официальное опубликование правовых актов
ОФИЦИАЛЬНОЕ ОПУБЛИКОВАНИЕ
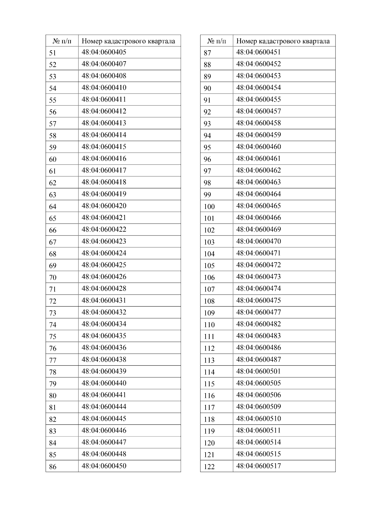
Приказ министерства имущественных и земельных отношений Липецкой области от 06.06.2025 № 55
"Об утверждении перечней кадастровых кварталов Липецкой области, в границах которых планируется проведение комплексных кадастровых работ местного значения в 2025 - 2026 годах"
Номер опубликования: 4801202506100002
Дата опубликования: 10.06.2025
Страница №3 из 25:
Увеличить