Официальное опубликование правовых актов
ОФИЦИАЛЬНОЕ ОПУБЛИКОВАНИЕ
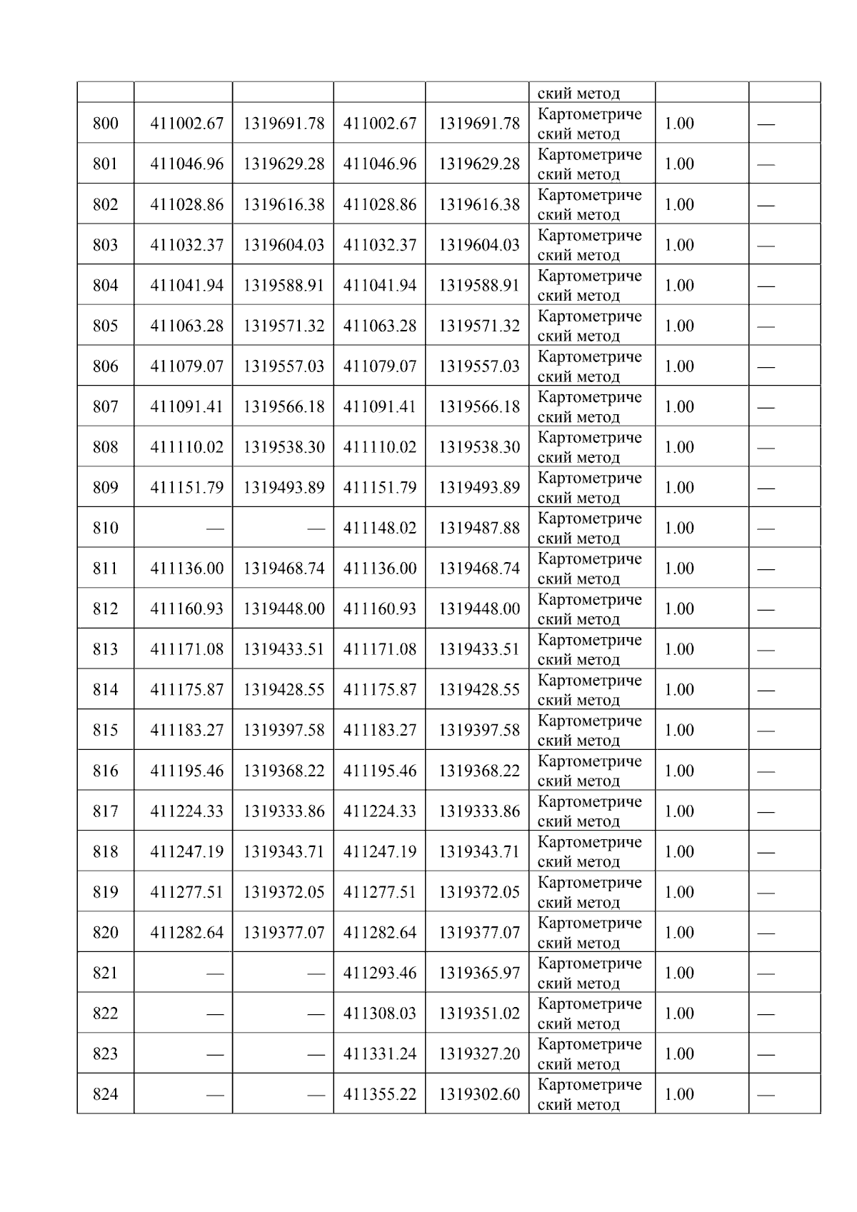
Приказ министерства строительства и архитектуры Липецкой области от 21.05.2025 № 210
"О принятии решения об утверждении генерального плана Липецкого муниципального округа Липецкой области применительно к населенным пунктам с. Введенка, с. Воскресеновка, с. Ильино, с. Никольское, с. Ситовка, с. Елецкое, с. Ленино, с. Пады, с. Троицкое, с. Подгорное, входящим в состав Липецкого муниципального округа Липецкой области, и территории Липецкого муниципального округа Липецкой области за границами этих населенных пунктов"
Номер опубликования: 4801202505260019
Дата опубликования: 26.05.2025
Страница №267 из 306:
Увеличить