Официальное опубликование правовых актов
ОФИЦИАЛЬНОЕ ОПУБЛИКОВАНИЕ
Постановление управления энергетики и тарифов Липецкой области от 16.12.2024 № 64/9
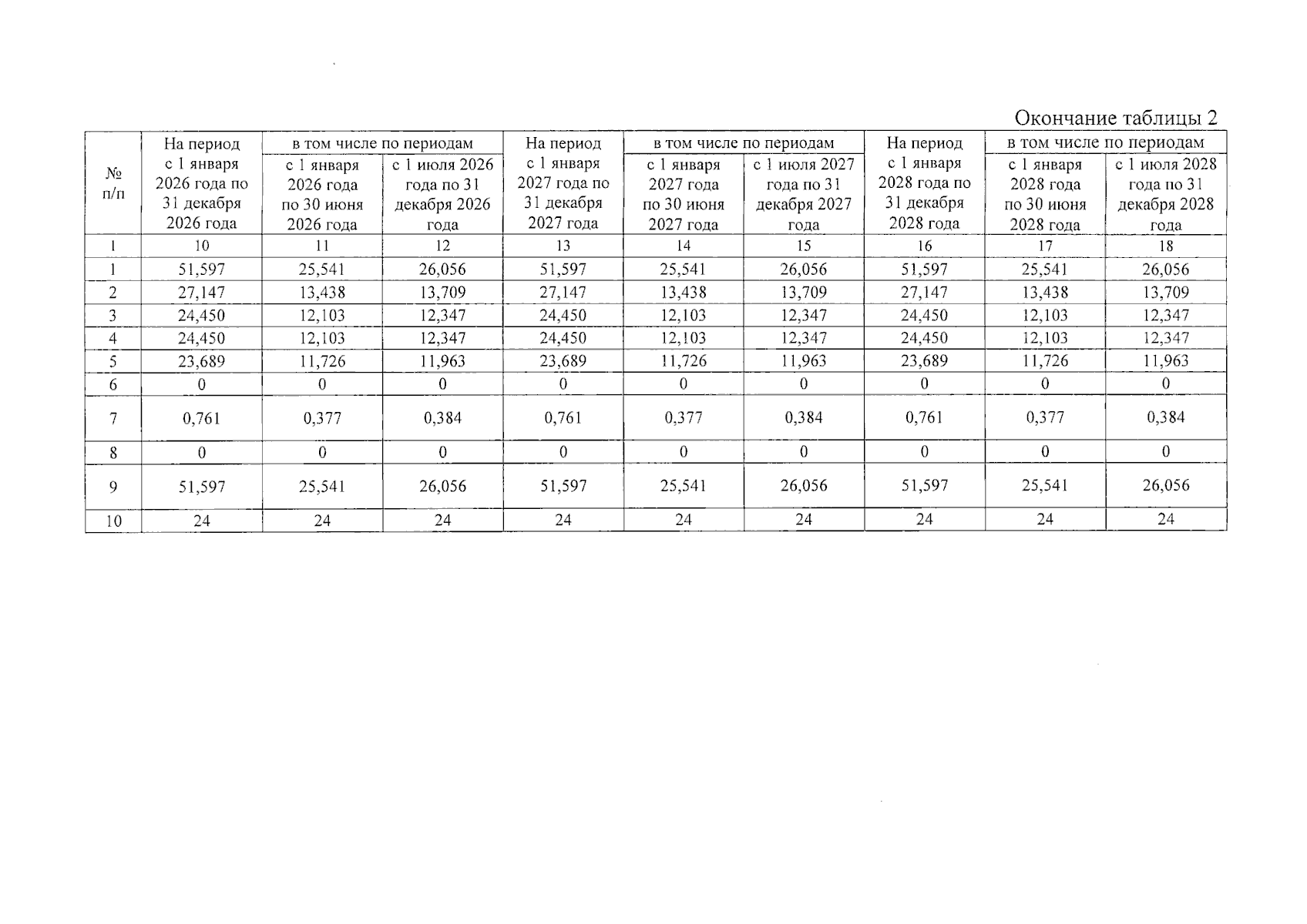
"О внесении изменений в постановление управления энергетики и тарифов Липецкой области от 13 декабря 2023 года № 63/3 "О тарифах на водоотведение и долгосрочных параметрах регулирования АО "ЛИМАК" (филиал "Подгоренский мукомольный завод") (ИНН 4826004888) на 2024-2028 годы"
(Зарегистрирован 18.12.2024 № ГР-359)
Номер опубликования: 4801202412200002
Дата опубликования: 20.12.2024
Страница №5 из 11:
Увеличить