Официальное опубликование правовых актов
ОФИЦИАЛЬНОЕ ОПУБЛИКОВАНИЕ
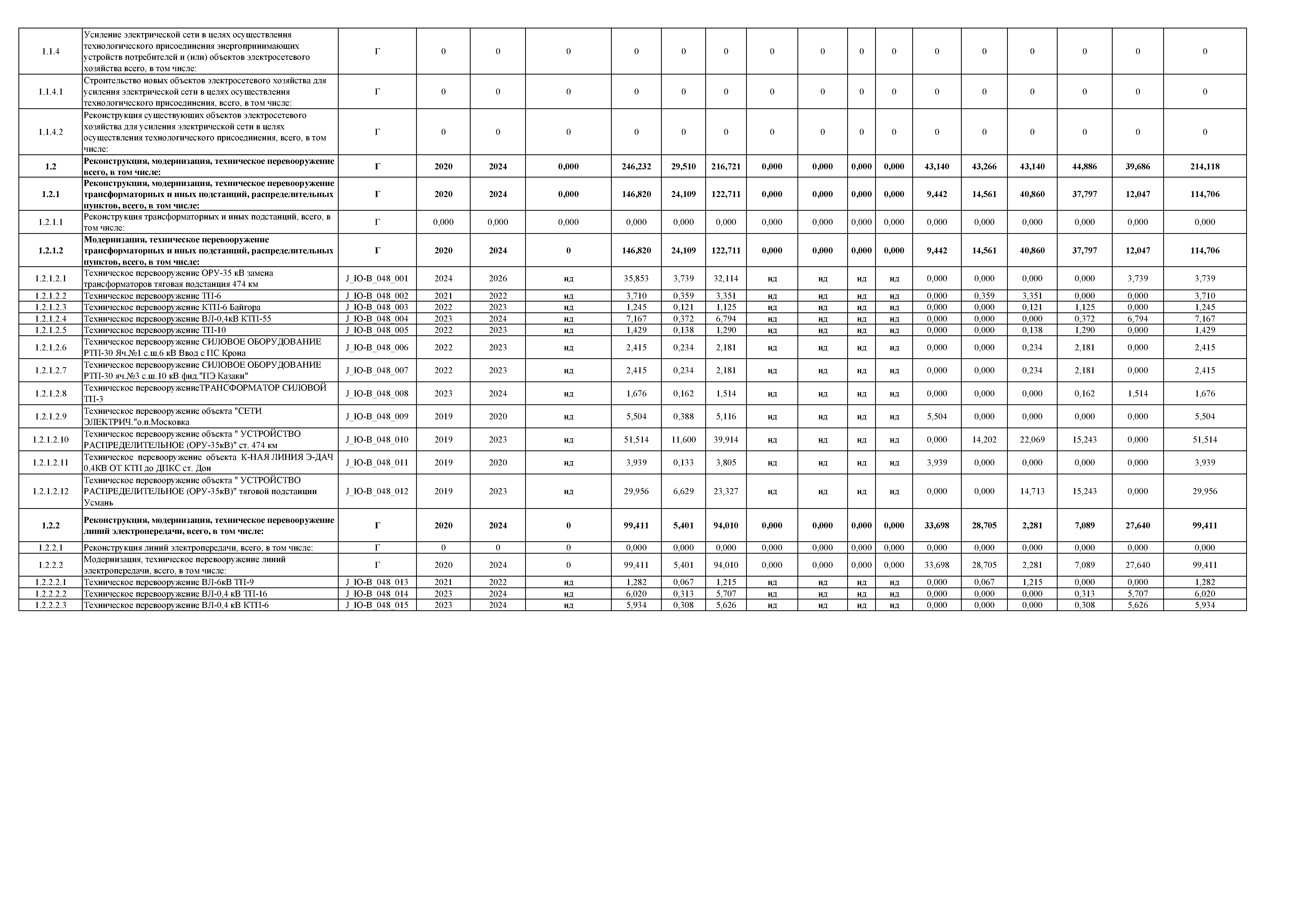
Постановление Управления энергетики и тарифов Липецкой области от 13.09.2019 № 31/7
"Об утверждении инвестиционной программы ОАО "Российские железные дороги" (Юго-Восточная дирекция по энергообеспечению - структурное подразделение "Трансэнерго" - филиала "Российские железные дороги" на территории Липецкой области) на 2020-2024 годы"
Номер опубликования: 4801201909200009
Дата опубликования: 20.09.2019
Страница №6 из 31: