Официальное опубликование правовых актов
ОФИЦИАЛЬНОЕ ОПУБЛИКОВАНИЕ
Постановление Правительства Липецкой области от 02.04.2026 № 194
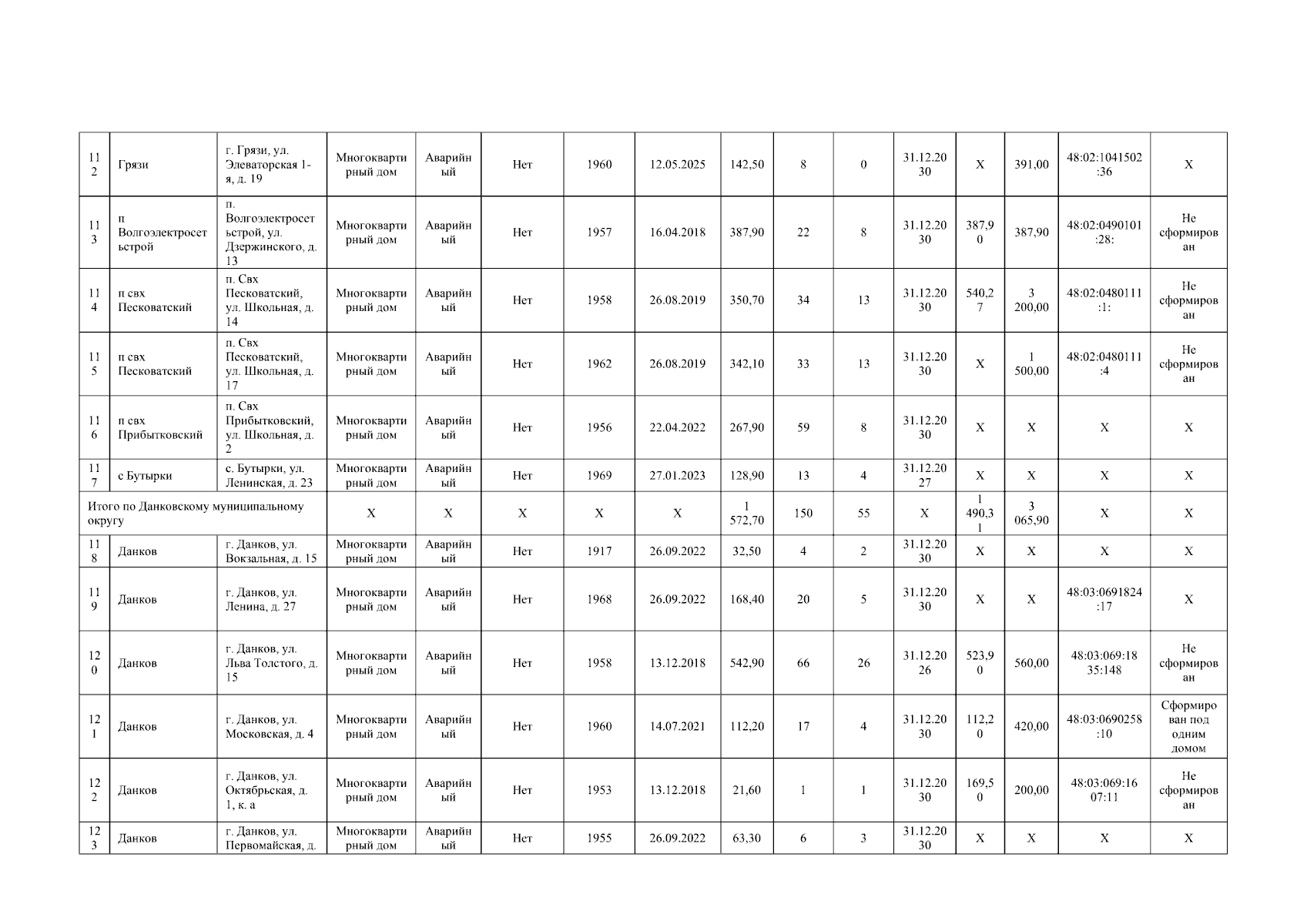
"О внесении изменений в постановление Правительства Липецкой области от 27 августа 2025 года № 430 "Об утверждении областной адресной программы "Переселение граждан из аварийного жилищного фонда, расположенного на территории Липецкой области"
Номер опубликования: 4800202604060007
Дата опубликования: 06.04.2026
Страница №22 из 39:
Увеличить