Официальное опубликование правовых актов
ОФИЦИАЛЬНОЕ ОПУБЛИКОВАНИЕ
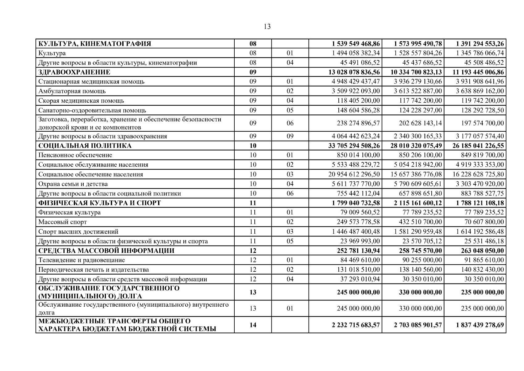
Закон Липецкой области от 26.02.2026 № 779-ОЗ
"О внесении изменений в Закон Липецкой области "Об областном бюджете на 2026 год и на плановый период 2027 и 2028 годов"
Номер опубликования: 4800202602260003
Дата опубликования: 26.02.2026
Страница №13 из 727:
Увеличить